🇳🇴 🇬🇧 🇩🇪 🇨🇿 🇫🇮

Meteor Hansnesin yllä 2022-11-23 02:02:50 UTC

KML-tiedosto  |  Interaktiivinen kartta

Kartta näyttää meteorin suuntahavainnot. Vaaleammat viivat näyttävät suunnat havaintoasemilta meteorin ilmestyessä, ja tummemmat viivat näyttävät, missä se viimeksi nähtiin. Sininen nuoli näyttää meteorin näkyvän lennon.

static map
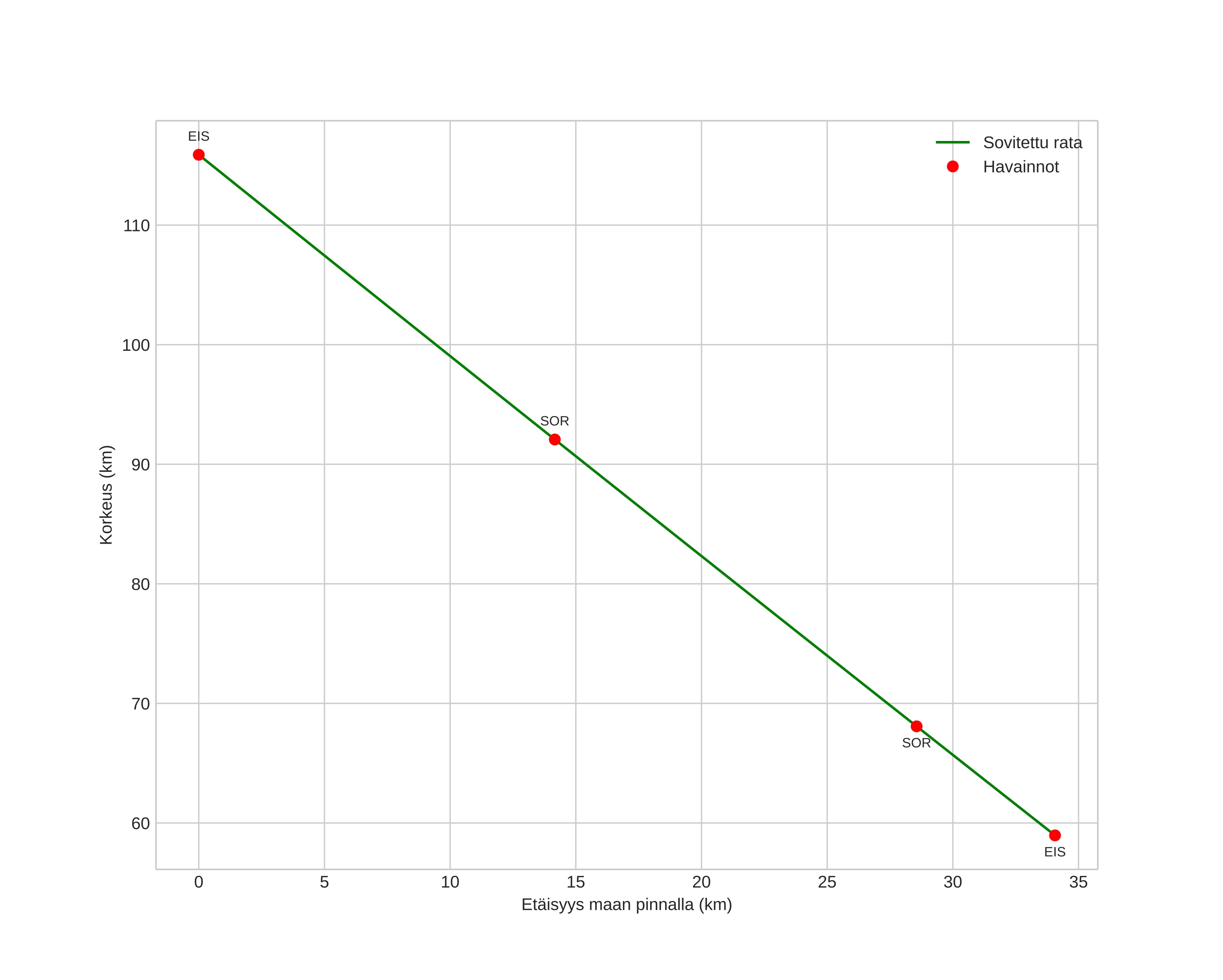
height profile
Meteorin ilmakehärata:
Alkukorkeus: 104,6 km
Loppukorkeus: 66,2 km
Alkupiste: 70,740N 19,706E
Loppupiste: 70,567N 19,347E
Suunta: 214,6°
Kallistuskulma: 58,6°
Tulonopeus: 41,0 km/s
Radiantin R,A,: 15:04 (226,0°)
Radiantin Dekl,: 71,1°
Meteoriparvi: Sporadinen
Meteoroidin rataelementit:
Perihelietäisyys: 0,986 AU
Eksentrisyys: 1,013
Inklinaatio: 63,0°
Nousevan solmun pituus: 240,4°
Perihelin argumentti: 184,2°
Keskianomalia: -0,0°
Epookki: 2022 NOV 23 02:02:50
orbit plot

Ei-interaktiivinen kuvaaja | Interaktiivinen kuvaaja

position vs time
speed and acceleration