🇳🇴 🇬🇧 🇩🇪 🇨🇿 🇫🇮

Meteor, poloha: Bjerkvik 2022-11-23 22:22:30 UTC

Soubor KML  |  InteraktivnĂ­ mapa

Mapa zobrazuje dráhy meteoru. Světlejší čáry ukazují směry od pozorovacích stanic při objevení se meteoru a tmavší čáry, kde byl naposledy viděn. Modrá šipka značí viditelnou dráhu meteoru.

static map
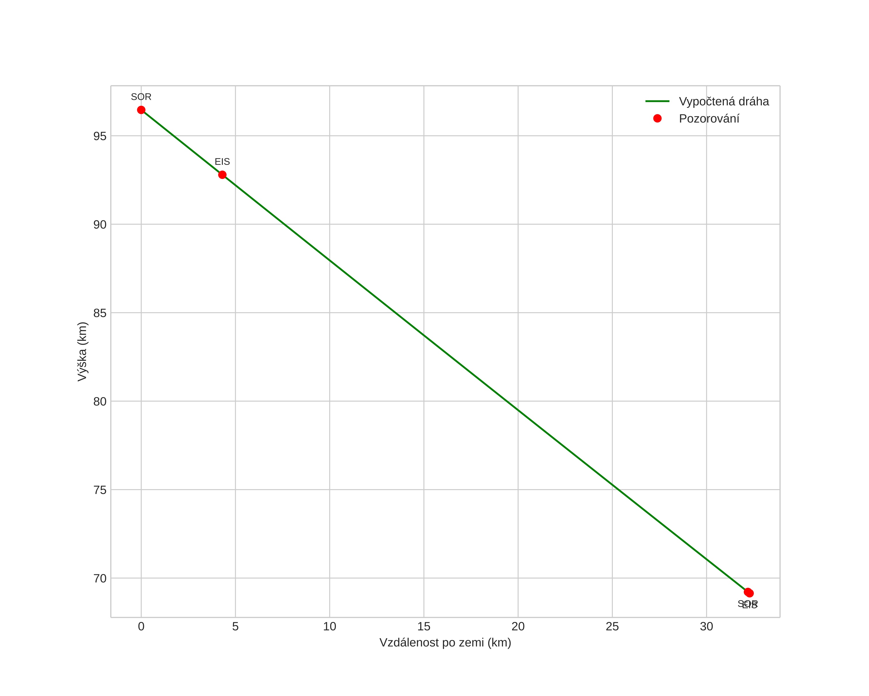
height profile
Atmosférická dráha meteoru:
Počáteční výška: 97,4 km
Konečná výška: 69,7 km
Počáteční poloha: 68,204N 17,653E
Konečná poloha: 68,495N 17,537E
Směr: 351,7°
Sklon: 40,2°
VstupnĂ­ rychlost: 27,6 km/s
Rektascenze radiantu: 04:08 (62,2°)
Deklinace radiantu: 16,2°
MeteorickĂ˝ roj: SevernĂ­ Tauridy
Elementy dráhy meteoroidu:
Vzdálenost v periheliu: 0,517 AU
Excentricita: 0,834
Sklon dráhy: 4,0°
Délka vzestupného uzlu: 61,3°
Argument perihelia: 92,6°
Střední anomálie: 352,4°
Epocha: 2022 NOV 23 22:22:30
orbit plot

NeinteraktivnĂ­ graf | InteraktivnĂ­ graf

position vs time
speed and acceleration