🇳🇴 🇬🇧 🇩🇪 🇨🇿 🇫🇮

Meteor über Bjerkvik 2022-11-23 22:22:30 UTC

KML-Datei  |  Interaktive Karte

Die Karte zeigt die Peilungen für den Meteor. Die helleren Linien zeigen die Richtungen von den Beobachtungsorten beim Erscheinen des Meteors, und die dunkleren Linien, wo er zuletzt gesehen wurde. Der blaue Pfeil zeigt die sichtbare Bahn des Meteors.

static map
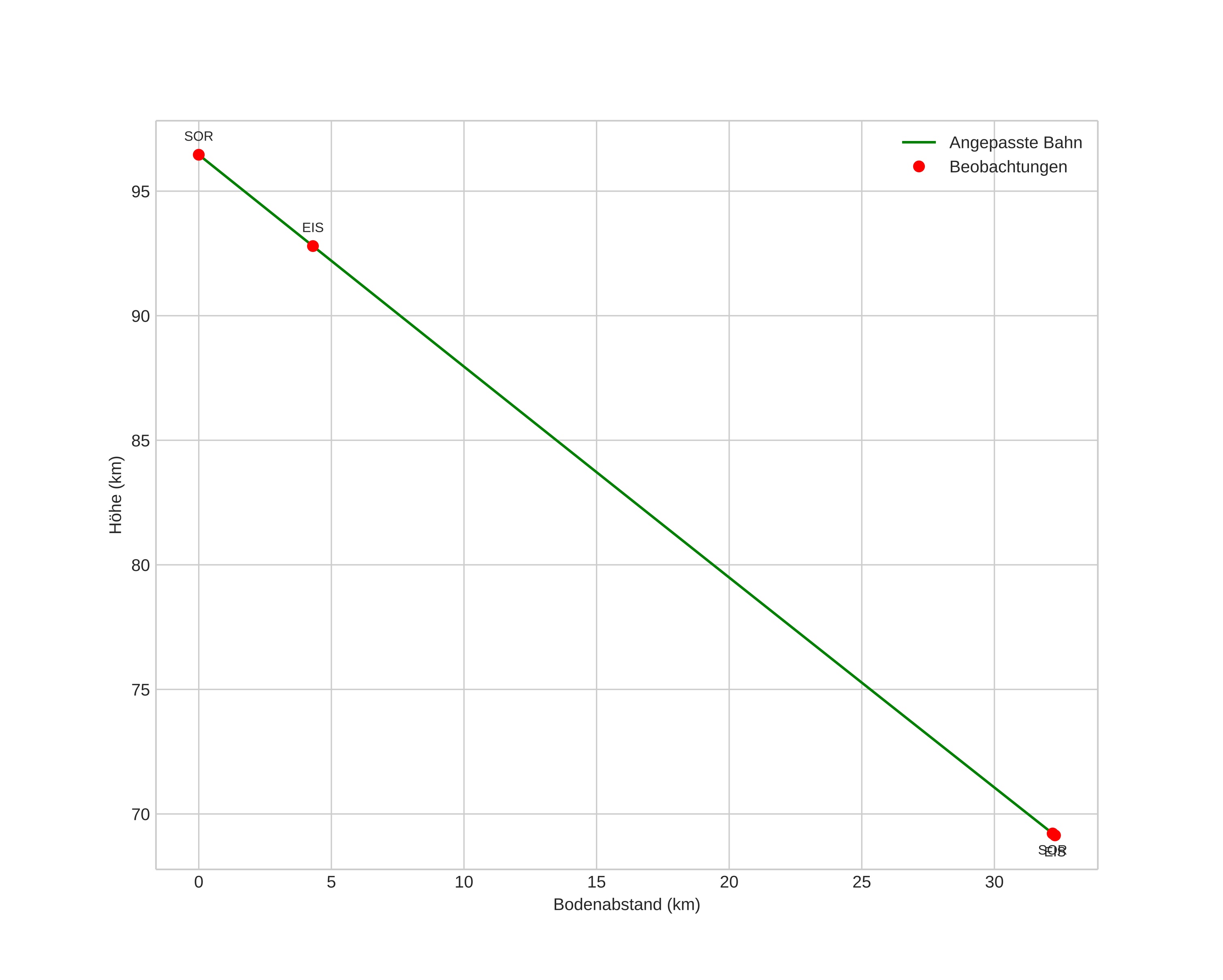
height profile
Atmosphärische Bahn des Meteors:
Anfangshöhe: 97,4 km
Endhöhe: 69,7 km
Startposition: 68,204N 17,653E
Endposition: 68,495N 17,537E
Richtung: 351,7°
Neigungswinkel: 40,2°
Eintrittsgeschwindigkeit: 27,6 km/s
Rektaszension des Radianten: 04:08 (62,2°)
Deklination des Radianten: 16,2°
Meteorstrom: Nördliche Tauriden
Bahnelemente des Meteoroiden:
Periheldistanz: 0,517 AU
Exzentrizität: 0,834
Inklination: 4,0°
Länge des aufsteigenden Knotens: 61,3°
Argument des Perihels: 92,6°
Mittlere Anomalie: 352,4°
Epoche: 2022 NOV 23 22:22:30
orbit plot

Nicht-interaktives Diagramm | Interaktives Diagramm

position vs time
speed and acceleration