🇳🇴 🇬🇧 🇩🇪 🇨🇿 🇫🇮

Meteor Bjerkvikin yllä 2022-11-23 22:22:30 UTC

KML-tiedosto  |  Interaktiivinen kartta

Kartta näyttää meteorin suuntahavainnot. Vaaleammat viivat näyttävät suunnat havaintoasemilta meteorin ilmestyessä, ja tummemmat viivat näyttävät, missä se viimeksi nähtiin. Sininen nuoli näyttää meteorin näkyvän lennon.

static map
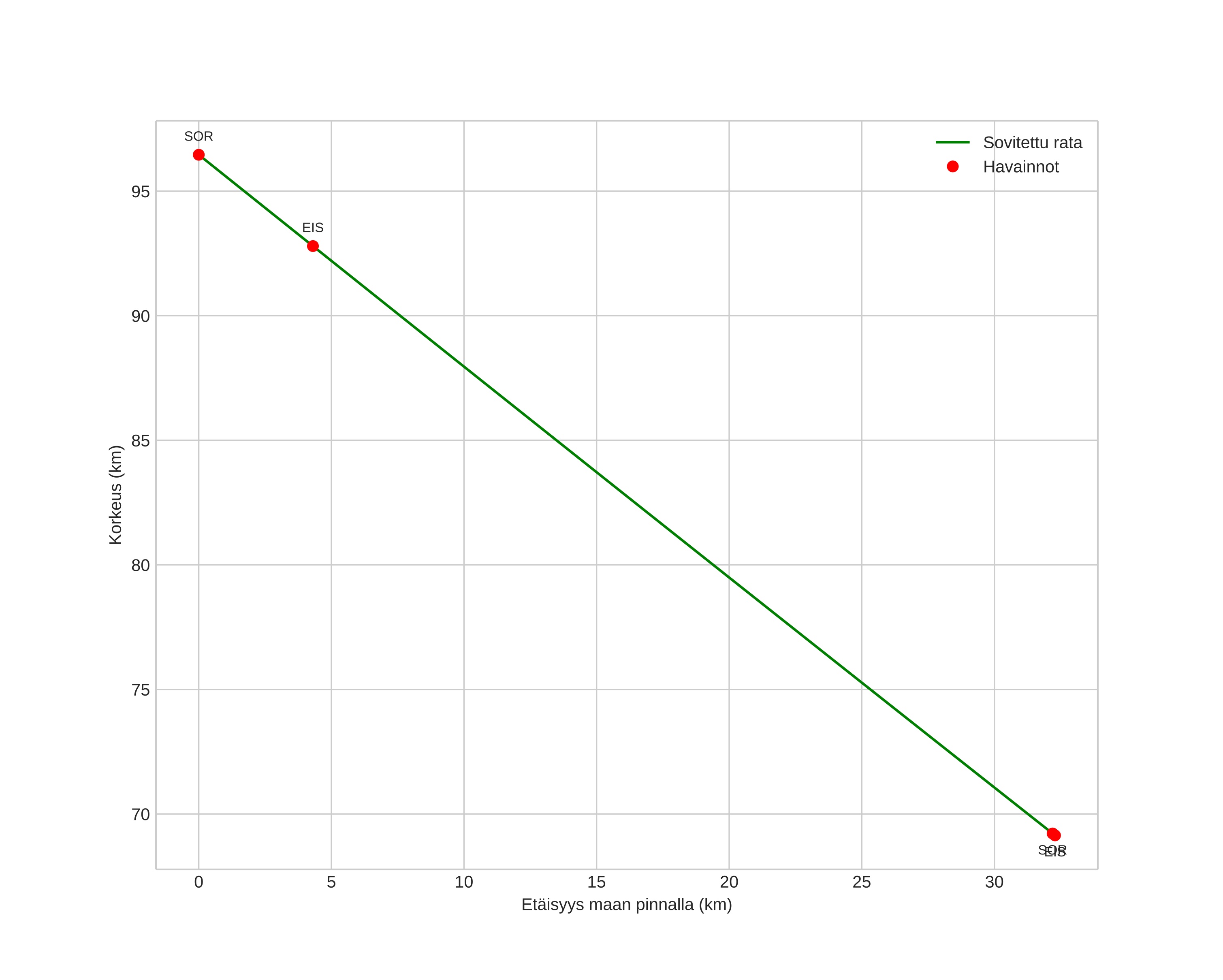
height profile
Meteorin ilmakehärata:
Alkukorkeus: 97,4 km
Loppukorkeus: 69,7 km
Alkupiste: 68,204N 17,653E
Loppupiste: 68,495N 17,537E
Suunta: 351,7°
Kallistuskulma: 40,2°
Tulonopeus: 27,6 km/s
Radiantin R,A,: 04:08 (62,2°)
Radiantin Dekl,: 16,2°
Meteoriparvi: Pohjoiset tauridit
Meteoroidin rataelementit:
Perihelietäisyys: 0,517 AU
Eksentrisyys: 0,834
Inklinaatio: 4,0°
Nousevan solmun pituus: 61,3°
Perihelin argumentti: 92,6°
Keskianomalia: 352,4°
Epookki: 2022 NOV 23 22:22:30
orbit plot

Ei-interaktiivinen kuvaaja | Interaktiivinen kuvaaja

position vs time
speed and acceleration