🇳🇴 🇬🇧 🇩🇪 🇨🇿 🇫🇮

Meteor, poloha: Storslett 2022-11-27 22:48:51 UTC

Soubor KML  |  InteraktivnĂ­ mapa

Mapa zobrazuje dráhy meteoru. Světlejší čáry ukazují směry od pozorovacích stanic při objevení se meteoru a tmavší čáry, kde byl naposledy viděn. Modrá šipka značí viditelnou dráhu meteoru.

static map
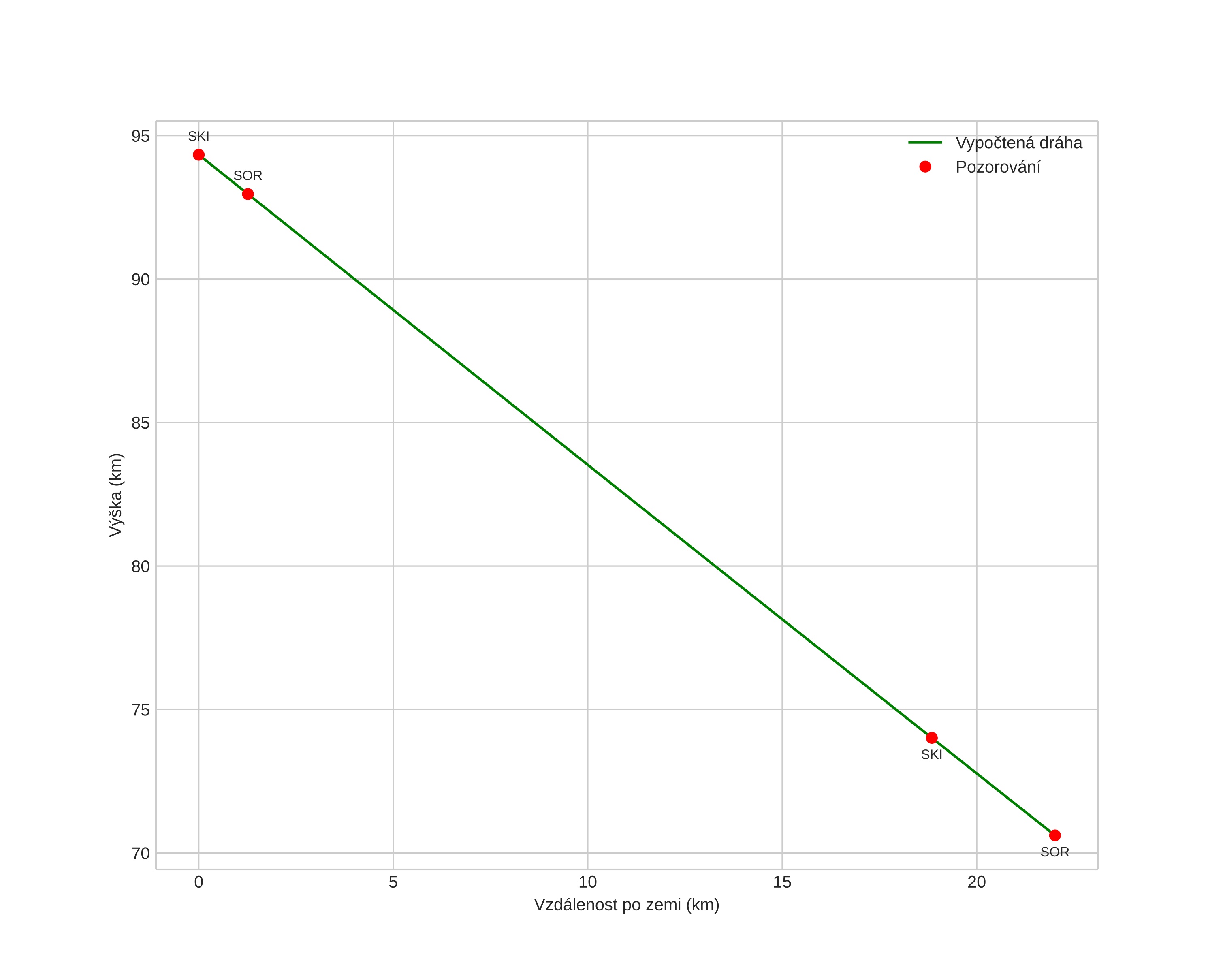
height profile
Atmosférická dráha meteoru:
Počáteční výška: 92,4 km
Konečná výška: 70,3 km
Počáteční poloha: 69,311N 21,554E
Konečná poloha: 69,497N 21,543E
Směr: 358,9°
Sklon: 46,9°
VstupnĂ­ rychlost: 26,4 km/s
Rektascenze radiantu: 04:42 (70,7°)
Deklinace radiantu: 24,0°
MeteorickĂ˝ roj: SevernĂ­ Tauridy
Elementy dráhy meteoroidu:
Vzdálenost v periheliu: 0,466 AU
Excentricita: 0,751
Sklon dráhy: 1,5°
Délka vzestupného uzlu: 245,3°
Argument perihelia: 283,4°
Střední anomálie: 342,4°
Epocha: 2022 NOV 27 22:48:51
orbit plot

NeinteraktivnĂ­ graf | InteraktivnĂ­ graf

position vs time
speed and acceleration