🇳🇴 🇬🇧 🇩🇪 🇨🇿 🇫🇮

Meteor Storslettin yllä 2022-11-27 22:48:51 UTC

KML-tiedosto  |  Interaktiivinen kartta

Kartta näyttää meteorin suuntahavainnot. Vaaleammat viivat näyttävät suunnat havaintoasemilta meteorin ilmestyessä, ja tummemmat viivat näyttävät, missä se viimeksi nähtiin. Sininen nuoli näyttää meteorin näkyvän lennon.

static map
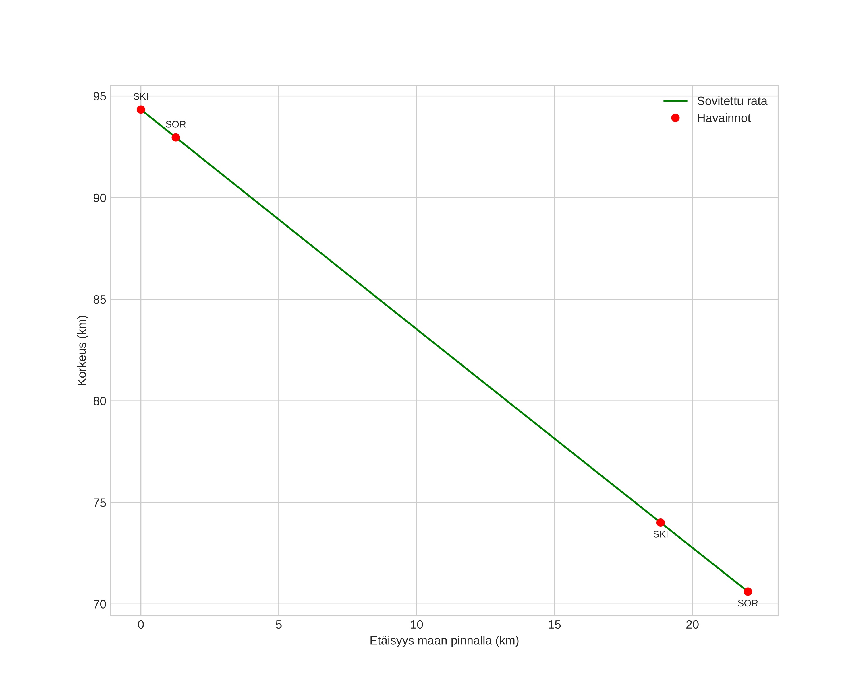
height profile
Meteorin ilmakehärata:
Alkukorkeus: 92,4 km
Loppukorkeus: 70,3 km
Alkupiste: 69,311N 21,554E
Loppupiste: 69,497N 21,543E
Suunta: 358,9°
Kallistuskulma: 46,9°
Tulonopeus: 26,4 km/s
Radiantin R,A,: 04:42 (70,7°)
Radiantin Dekl,: 24,0°
Meteoriparvi: Pohjoiset tauridit
Meteoroidin rataelementit:
Perihelietäisyys: 0,466 AU
Eksentrisyys: 0,751
Inklinaatio: 1,5°
Nousevan solmun pituus: 245,3°
Perihelin argumentti: 283,4°
Keskianomalia: 342,4°
Epookki: 2022 NOV 27 22:48:51
orbit plot

Ei-interaktiivinen kuvaaja | Interaktiivinen kuvaaja

position vs time
speed and acceleration