🇳🇴 🇬🇧 🇩🇪 🇨🇿 🇫🇮

Meteor über Storslett 2022-11-27 22:48:51 UTC

KML-Datei  |  Interaktive Karte

Die Karte zeigt die Peilungen für den Meteor. Die helleren Linien zeigen die Richtungen von den Beobachtungsorten beim Erscheinen des Meteors, und die dunkleren Linien, wo er zuletzt gesehen wurde. Der blaue Pfeil zeigt die sichtbare Bahn des Meteors.

static map
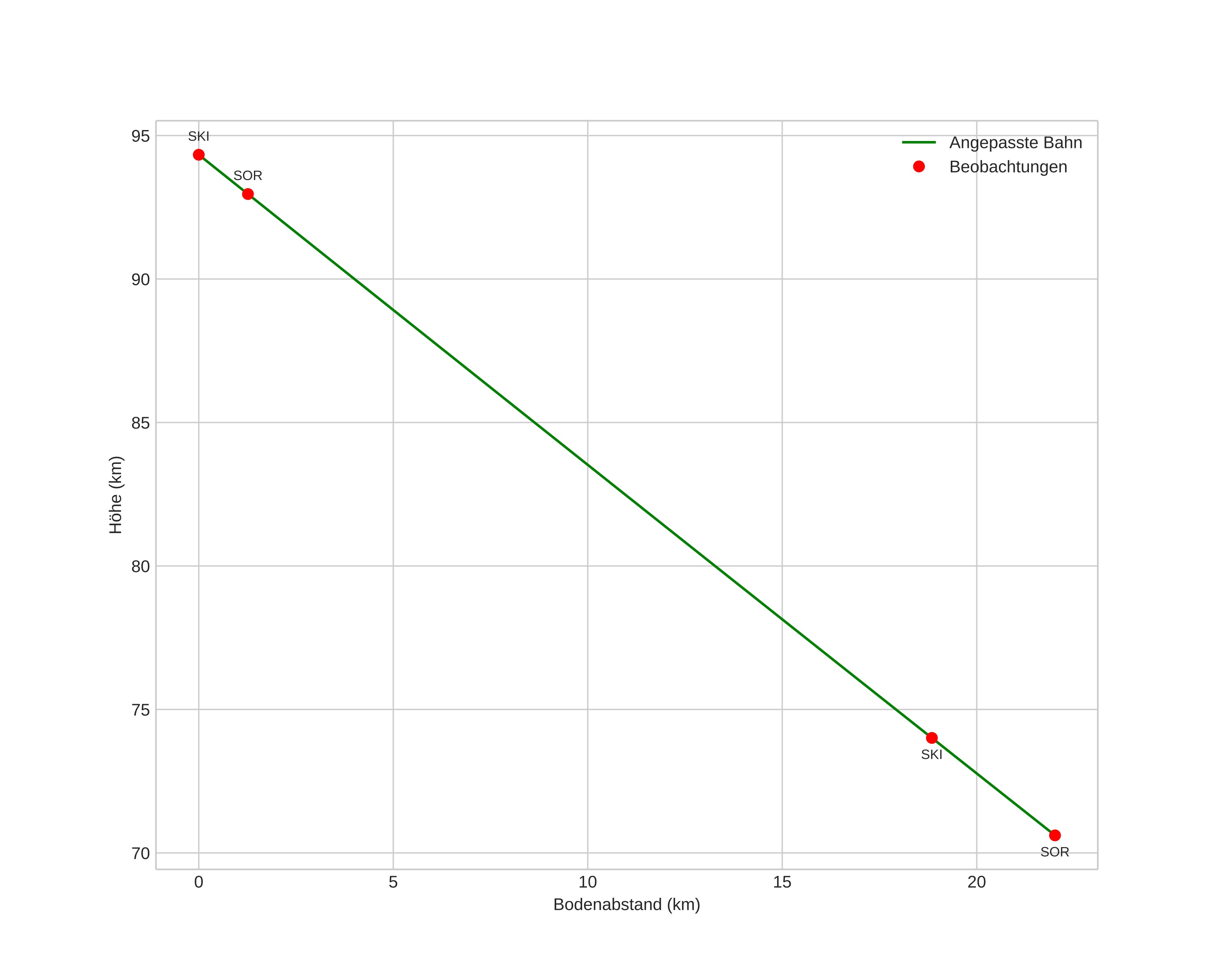
height profile
Atmosphärische Bahn des Meteors:
Anfangshöhe: 92,4 km
Endhöhe: 70,3 km
Startposition: 69,311N 21,554E
Endposition: 69,497N 21,543E
Richtung: 358,9°
Neigungswinkel: 46,9°
Eintrittsgeschwindigkeit: 26,4 km/s
Rektaszension des Radianten: 04:42 (70,7°)
Deklination des Radianten: 24,0°
Meteorstrom: Nördliche Tauriden
Bahnelemente des Meteoroiden:
Periheldistanz: 0,466 AU
Exzentrizität: 0,751
Inklination: 1,5°
Länge des aufsteigenden Knotens: 245,3°
Argument des Perihels: 283,4°
Mittlere Anomalie: 342,4°
Epoche: 2022 NOV 27 22:48:51
orbit plot

Nicht-interaktives Diagramm | Interaktives Diagramm

position vs time
speed and acceleration