🇳🇴 🇬🇧 🇩🇪 🇨🇿 🇫🇮

Meteor, poloha: Setermoen 2022-12-02 16:12:11 UTC

Soubor KML  |  InteraktivnĂ­ mapa

Mapa zobrazuje dráhy meteoru. Světlejší čáry ukazují směry od pozorovacích stanic při objevení se meteoru a tmavší čáry, kde byl naposledy viděn. Modrá šipka značí viditelnou dráhu meteoru.

static map
height profile
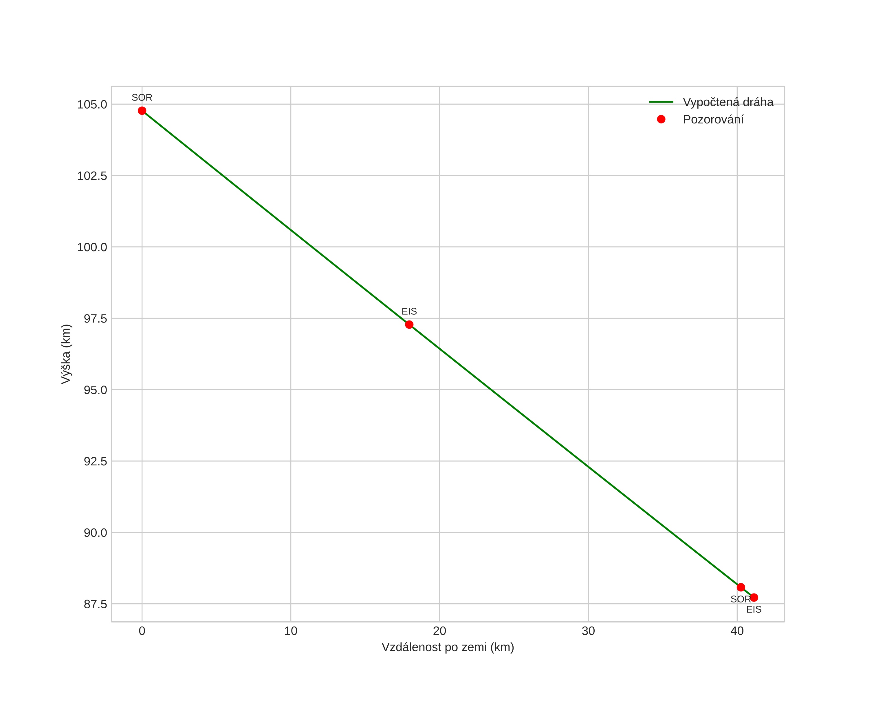
Atmosférická dráha meteoru:
Počáteční výška: 104,1 km
Konečná výška: 85,9 km
Počáteční poloha: 68,791N 17,321E
Konečná poloha: 68,533N 18,206E
Směr: 128,2°
Sklon: 21,6°
VstupnĂ­ rychlost: 49,8 km/s
Rektascenze radiantu: 14:09 (212,4°)
Deklinace radiantu: 32,6°
MeteorickĂ˝ roj: sporadickĂ˝
Elementy dráhy meteoroidu:
Vzdálenost v periheliu: 0,663 AU
Excentricita: 0,777
Sklon dráhy: 88,3°
Délka vzestupného uzlu: 250,1°
Argument perihelia: 104,5°
Střední anomálie: 8,0°
Epocha: 2022 DEC 02 16:12:11
orbit plot

NeinteraktivnĂ­ graf | InteraktivnĂ­ graf

position vs time
speed and acceleration