🇳🇴 🇬🇧 🇩🇪 🇨🇿 🇫🇮

Meteor über Setermoen 2022-12-02 16:12:11 UTC

KML-Datei  |  Interaktive Karte

Die Karte zeigt die Peilungen für den Meteor. Die helleren Linien zeigen die Richtungen von den Beobachtungsorten beim Erscheinen des Meteors, und die dunkleren Linien, wo er zuletzt gesehen wurde. Der blaue Pfeil zeigt die sichtbare Bahn des Meteors.

static map
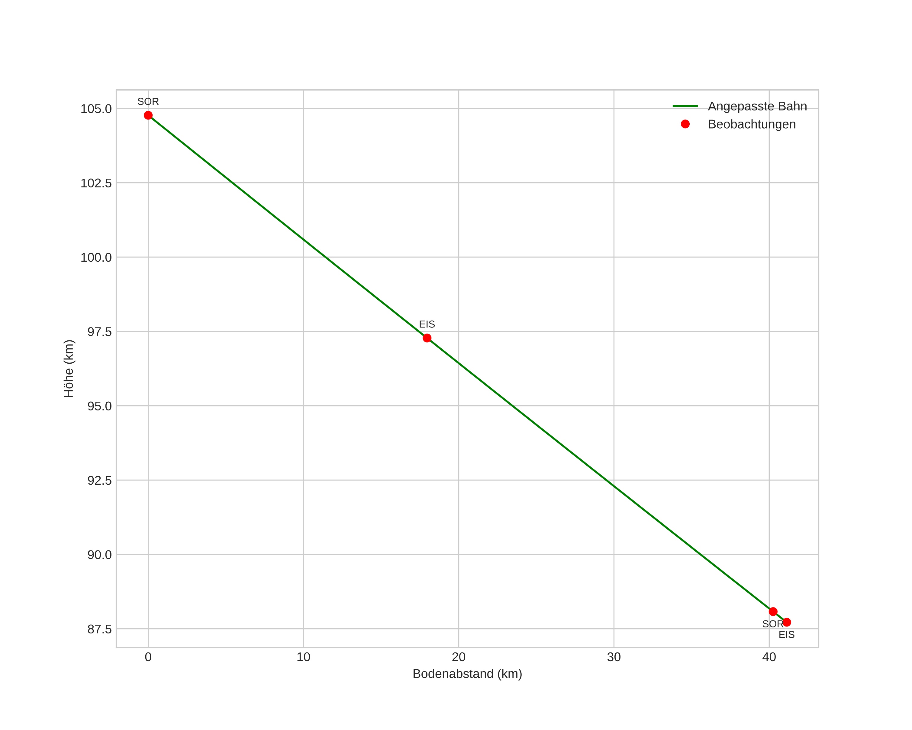
height profile
Atmosphärische Bahn des Meteors:
Anfangshöhe: 104,1 km
Endhöhe: 85,9 km
Startposition: 68,791N 17,321E
Endposition: 68,533N 18,206E
Richtung: 128,2°
Neigungswinkel: 21,6°
Eintrittsgeschwindigkeit: 49,8 km/s
Rektaszension des Radianten: 14:09 (212,4°)
Deklination des Radianten: 32,6°
Meteorstrom: sporadisch
Bahnelemente des Meteoroiden:
Periheldistanz: 0,663 AU
Exzentrizität: 0,777
Inklination: 88,3°
Länge des aufsteigenden Knotens: 250,1°
Argument des Perihels: 104,5°
Mittlere Anomalie: 8,0°
Epoche: 2022 DEC 02 16:12:11
orbit plot

Nicht-interaktives Diagramm | Interaktives Diagramm

position vs time
speed and acceleration