🇳🇴 🇬🇧 🇩🇪 🇨🇿 🇫🇮

Meteor Setermoenin yllä 2022-12-02 16:12:11 UTC

KML-tiedosto  |  Interaktiivinen kartta

Kartta näyttää meteorin suuntahavainnot. Vaaleammat viivat näyttävät suunnat havaintoasemilta meteorin ilmestyessä, ja tummemmat viivat näyttävät, missä se viimeksi nähtiin. Sininen nuoli näyttää meteorin näkyvän lennon.

static map
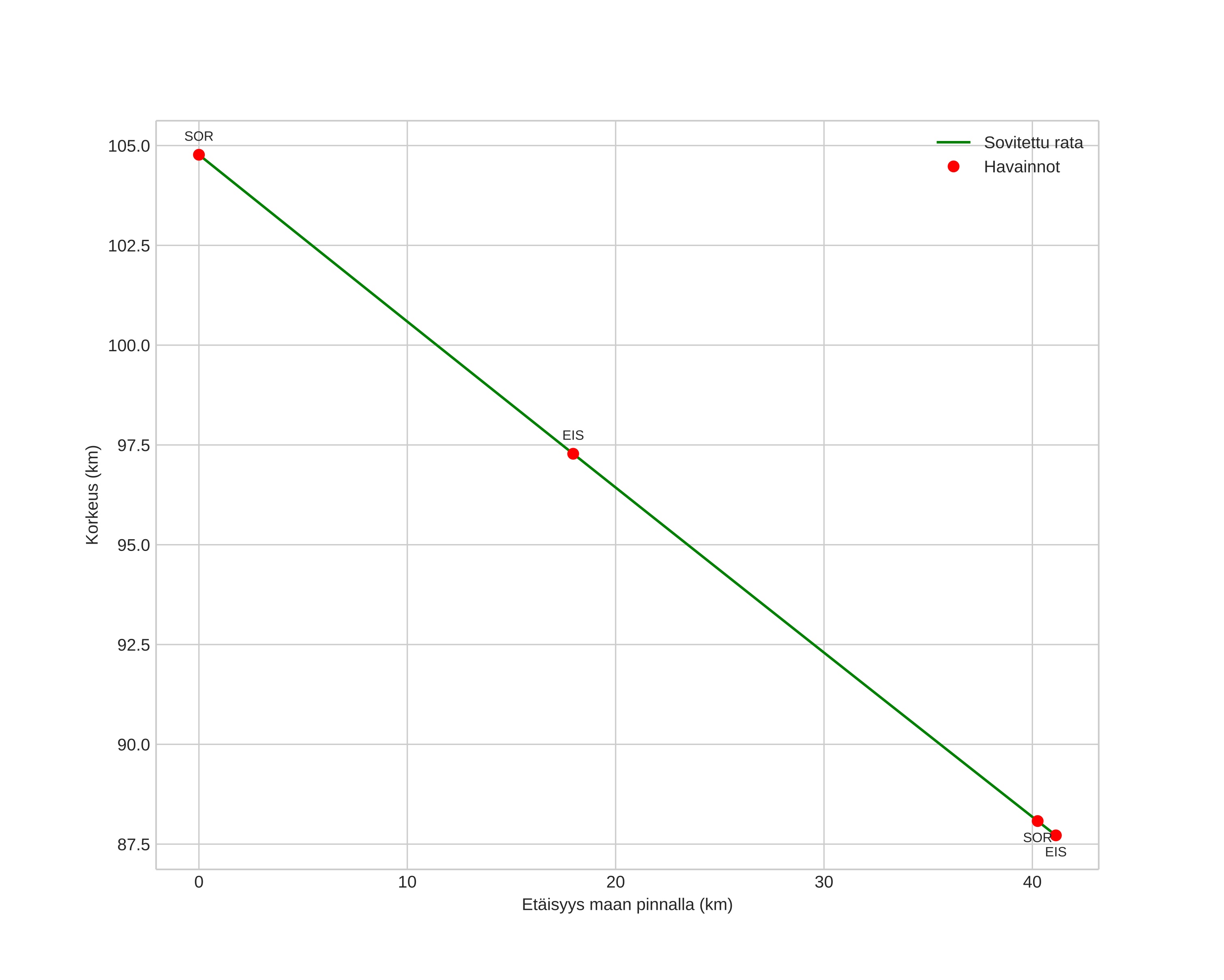
height profile
Meteorin ilmakehärata:
Alkukorkeus: 104,1 km
Loppukorkeus: 85,9 km
Alkupiste: 68,791N 17,321E
Loppupiste: 68,533N 18,206E
Suunta: 128,2°
Kallistuskulma: 21,6°
Tulonopeus: 49,8 km/s
Radiantin R,A,: 14:09 (212,4°)
Radiantin Dekl,: 32,6°
Meteoriparvi: Sporadinen
Meteoroidin rataelementit:
Perihelietäisyys: 0,663 AU
Eksentrisyys: 0,777
Inklinaatio: 88,3°
Nousevan solmun pituus: 250,1°
Perihelin argumentti: 104,5°
Keskianomalia: 8,0°
Epookki: 2022 DEC 02 16:12:11
orbit plot

Ei-interaktiivinen kuvaaja | Interaktiivinen kuvaaja

position vs time
speed and acceleration