🇳🇴 🇬🇧 🇩🇪 🇨🇿 🇫🇮

Meteor, poloha: Storsteinnes 2022-12-04 00:17:05 UTC

Soubor KML  |  InteraktivnĂ­ mapa

Mapa zobrazuje dráhy meteoru. Světlejší čáry ukazují směry od pozorovacích stanic při objevení se meteoru a tmavší čáry, kde byl naposledy viděn. Modrá šipka značí viditelnou dráhu meteoru.

static map
height profile
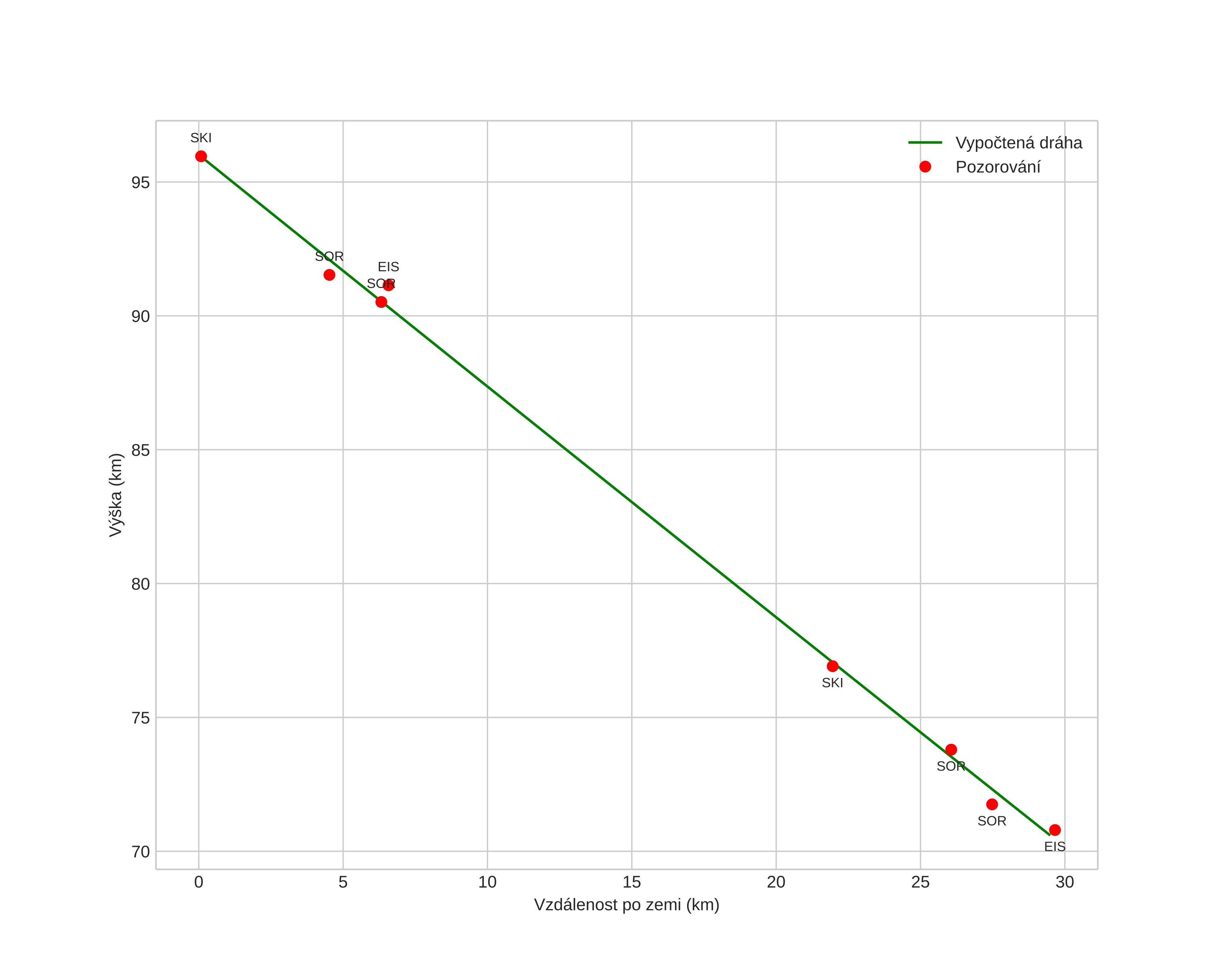
Atmosférická dráha meteoru:
Počáteční výška: 95,5 km
Konečná výška: 70,5 km
Počáteční poloha: 68,757N 19,130E
Konečná poloha: 69,006N 19,361E
Směr: 18,4°
Sklon: 40,6°
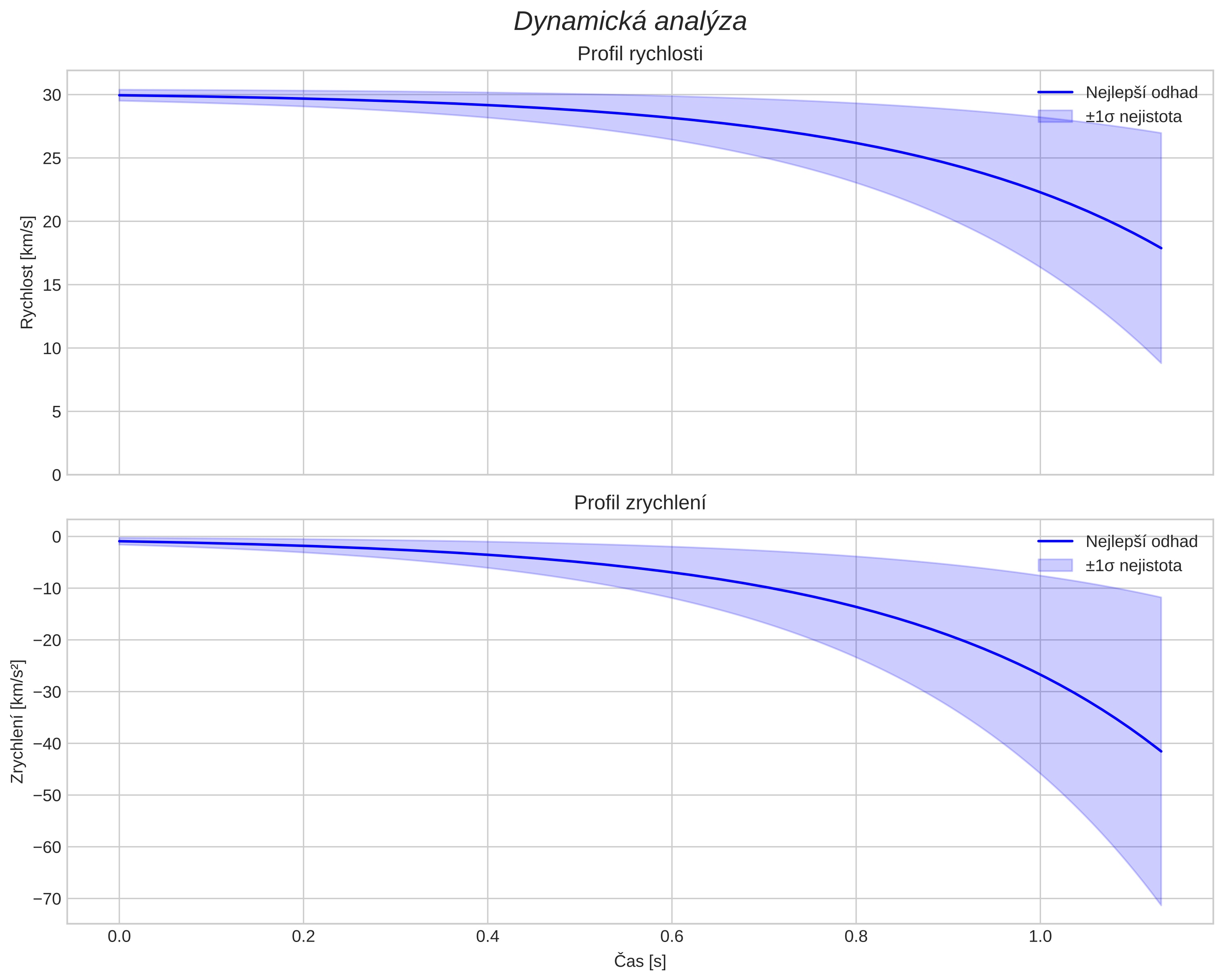
VstupnĂ­ rychlost: 30,0 km/s
Rektascenze radiantu: 05:21 (80,4°)
Deklinace radiantu: 18,2°
MeteorickĂ˝ roj: SevernĂ­ Tauridy
Elementy dráhy meteoroidu:
Vzdálenost v periheliu: 0,397 AU
Excentricita: 0,837
Sklon dráhy: 5,4°
Délka vzestupného uzlu: 71,5°
Argument perihelia: 108,1°
Střední anomálie: 349,0°
Epocha: 2022 DEC 04 00:17:05
orbit plot

NeinteraktivnĂ­ graf | InteraktivnĂ­ graf

position vs time
speed and acceleration