🇳🇴 🇬🇧 🇩🇪 🇨🇿 🇫🇮

Meteor über Storsteinnes 2022-12-04 00:17:05 UTC

KML-Datei  |  Interaktive Karte

Die Karte zeigt die Peilungen für den Meteor. Die helleren Linien zeigen die Richtungen von den Beobachtungsorten beim Erscheinen des Meteors, und die dunkleren Linien, wo er zuletzt gesehen wurde. Der blaue Pfeil zeigt die sichtbare Bahn des Meteors.

static map
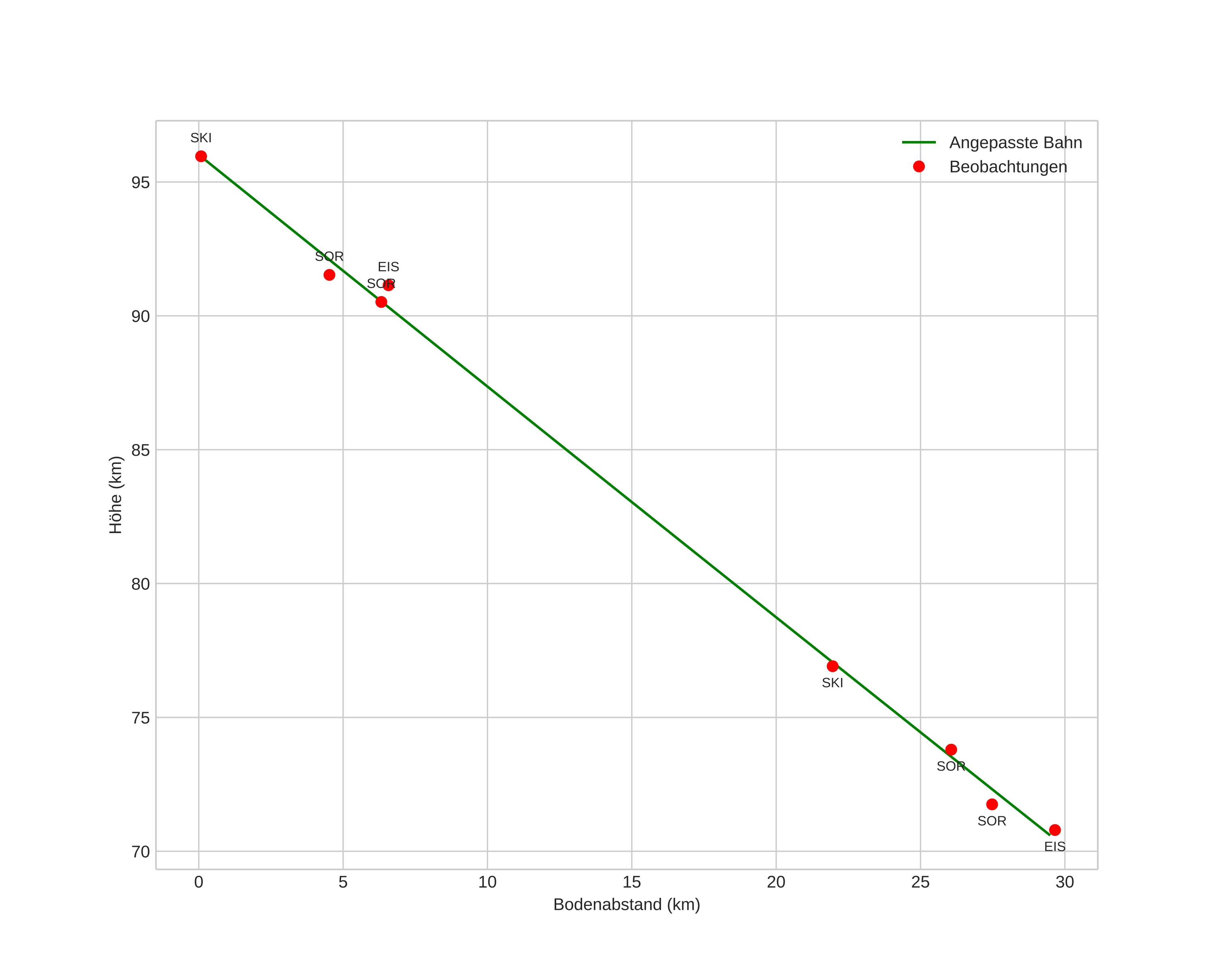
height profile
Atmosphärische Bahn des Meteors:
Anfangshöhe: 95,5 km
Endhöhe: 70,5 km
Startposition: 68,757N 19,130E
Endposition: 69,006N 19,361E
Richtung: 18,4°
Neigungswinkel: 40,6°
Eintrittsgeschwindigkeit: 30,0 km/s
Rektaszension des Radianten: 05:21 (80,4°)
Deklination des Radianten: 18,2°
Meteorstrom: Nördliche Tauriden
Bahnelemente des Meteoroiden:
Periheldistanz: 0,397 AU
Exzentrizität: 0,837
Inklination: 5,4°
Länge des aufsteigenden Knotens: 71,5°
Argument des Perihels: 108,1°
Mittlere Anomalie: 349,0°
Epoche: 2022 DEC 04 00:17:05
orbit plot

Nicht-interaktives Diagramm | Interaktives Diagramm

position vs time
speed and acceleration