🇳🇴 🇬🇧 🇩🇪 🇨🇿 🇫🇮

Meteor Storsteinnesin yllä 2022-12-04 00:17:05 UTC

KML-tiedosto  |  Interaktiivinen kartta

Kartta näyttää meteorin suuntahavainnot. Vaaleammat viivat näyttävät suunnat havaintoasemilta meteorin ilmestyessä, ja tummemmat viivat näyttävät, missä se viimeksi nähtiin. Sininen nuoli näyttää meteorin näkyvän lennon.

static map
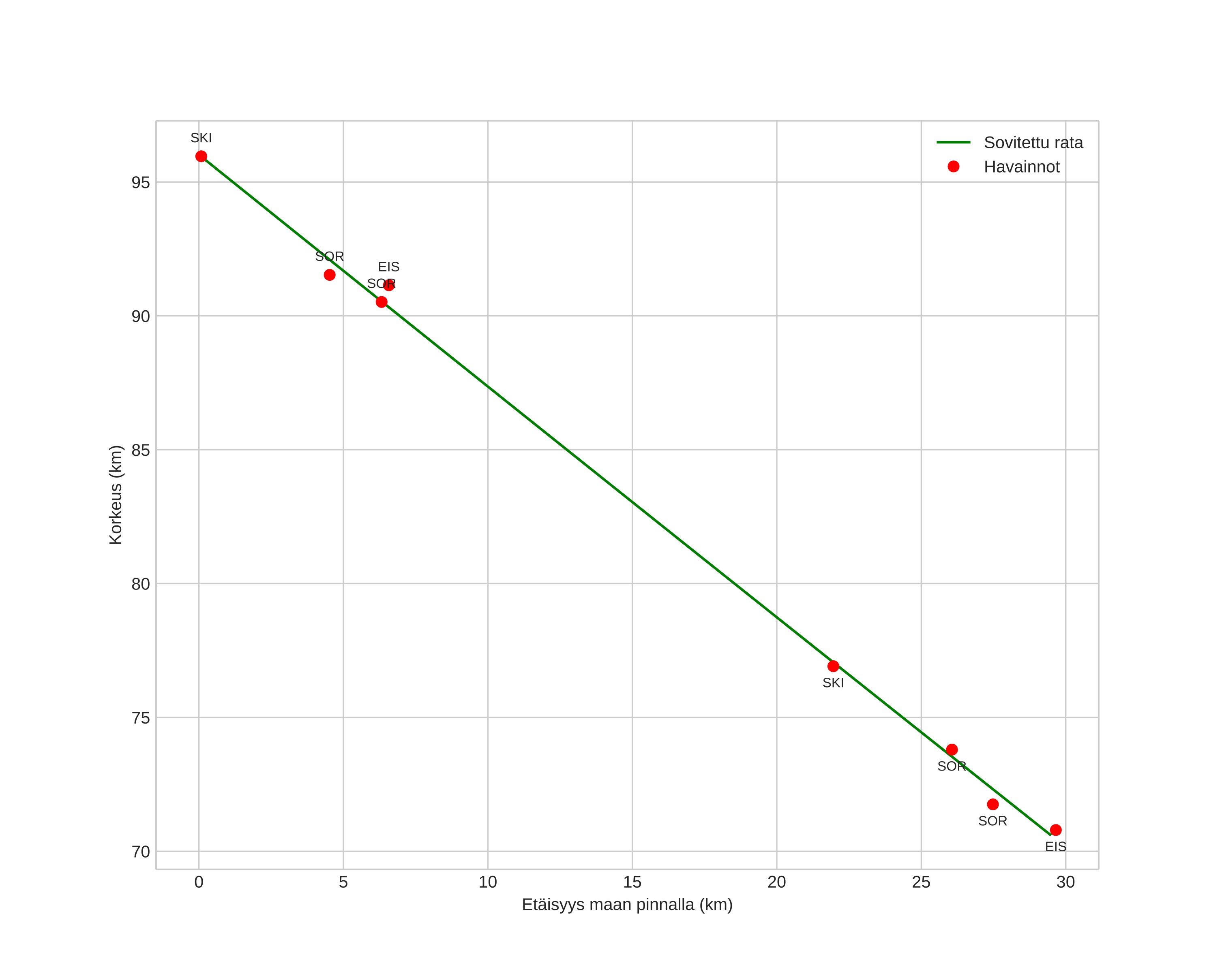
height profile
Meteorin ilmakehärata:
Alkukorkeus: 95,5 km
Loppukorkeus: 70,5 km
Alkupiste: 68,757N 19,130E
Loppupiste: 69,006N 19,361E
Suunta: 18,4°
Kallistuskulma: 40,6°
Tulonopeus: 30,0 km/s
Radiantin R,A,: 05:21 (80,4°)
Radiantin Dekl,: 18,2°
Meteoriparvi: Pohjoiset tauridit
Meteoroidin rataelementit:
Perihelietäisyys: 0,397 AU
Eksentrisyys: 0,837
Inklinaatio: 5,4°
Nousevan solmun pituus: 71,5°
Perihelin argumentti: 108,1°
Keskianomalia: 349,0°
Epookki: 2022 DEC 04 00:17:05
orbit plot

Ei-interaktiivinen kuvaaja | Interaktiivinen kuvaaja

position vs time
speed and acceleration