🇳🇴 🇬🇧 🇩🇪 🇨🇿 🇫🇮

Meteor, poloha: Kiruna 2022-12-10 03:15:55 UTC

Soubor KML  |  InteraktivnĂ­ mapa

Mapa zobrazuje dráhy meteoru. Světlejší čáry ukazují směry od pozorovacích stanic při objevení se meteoru a tmavší čáry, kde byl naposledy viděn. Modrá šipka značí viditelnou dráhu meteoru.

static map
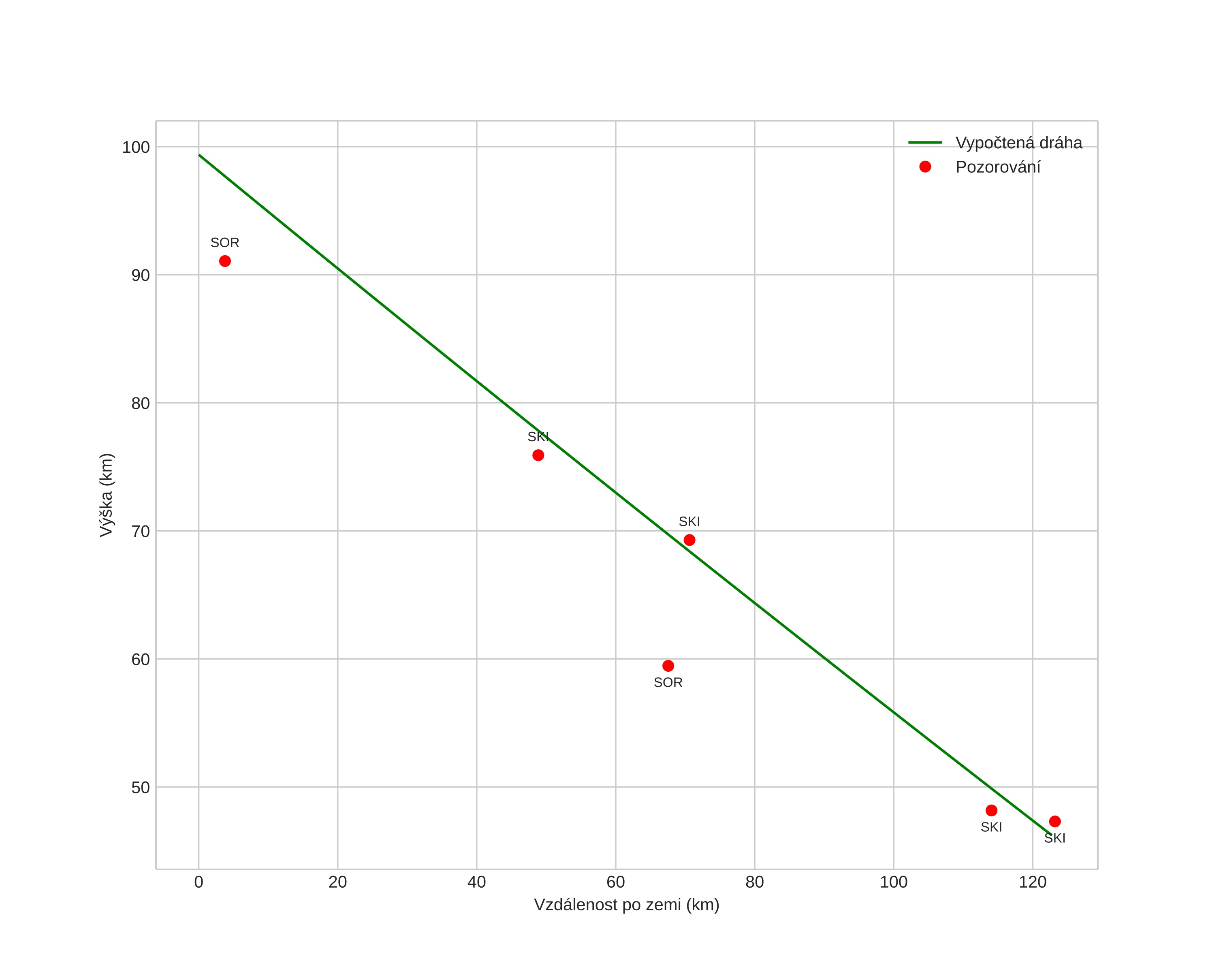
height profile
Atmosférická dráha meteoru:
Počáteční výška: 100,7 km
Konečná výška: 45,5 km
Počáteční poloha: 66,449N 19,287E
Konečná poloha: 67,557N 20,205E
Směr: 17,5°
Sklon: 23,1°
VstupnĂ­ rychlost: 59,4 km/s
Rektascenze radiantu: 08:41 (130,4°)
Deklinace radiantu: -0,1°
MeteorickĂ˝ roj: Sigma Hydridy
Elementy dráhy meteoroidu:
Vzdálenost v periheliu: 0,316 AU
Excentricita: 0,920
Sklon dráhy: 131,0°
Délka vzestupného uzlu: 77,7°
Argument perihelia: 114,7°
Střední anomálie: 355,2°
Epocha: 2022 DEC 10 03:15:55
orbit plot

NeinteraktivnĂ­ graf | InteraktivnĂ­ graf

position vs time
speed and acceleration