🇳🇴 🇬🇧 🇩🇪 🇨🇿 🇫🇮

Meteor Kirunan yllä 2022-12-10 03:15:55 UTC

KML-tiedosto  |  Interaktiivinen kartta

Kartta näyttää meteorin suuntahavainnot. Vaaleammat viivat näyttävät suunnat havaintoasemilta meteorin ilmestyessä, ja tummemmat viivat näyttävät, missä se viimeksi nähtiin. Sininen nuoli näyttää meteorin näkyvän lennon.

static map
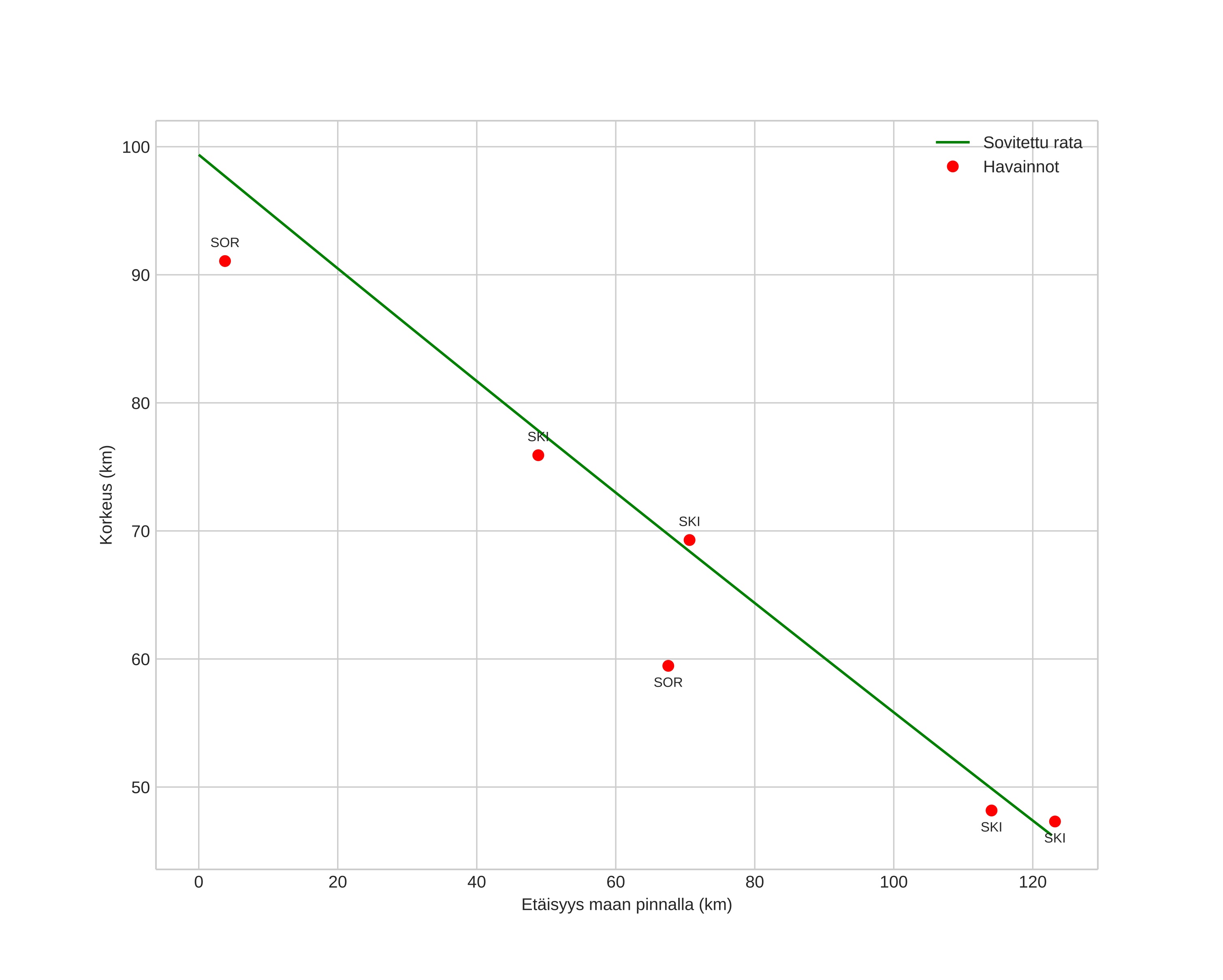
height profile
Meteorin ilmakehärata:
Alkukorkeus: 100,7 km
Loppukorkeus: 45,5 km
Alkupiste: 66,449N 19,287E
Loppupiste: 67,557N 20,205E
Suunta: 17,5°
Kallistuskulma: 23,1°
Tulonopeus: 59,4 km/s
Radiantin R,A,: 08:41 (130,4°)
Radiantin Dekl,: -0,1°
Meteoriparvi: Sigma-hydridit
Meteoroidin rataelementit:
Perihelietäisyys: 0,316 AU
Eksentrisyys: 0,920
Inklinaatio: 131,0°
Nousevan solmun pituus: 77,7°
Perihelin argumentti: 114,7°
Keskianomalia: 355,2°
Epookki: 2022 DEC 10 03:15:55
orbit plot

Ei-interaktiivinen kuvaaja | Interaktiivinen kuvaaja

position vs time
speed and acceleration