🇳🇴 🇬🇧 🇩🇪 🇨🇿 🇫🇮

Meteor über Kiruna 2022-12-10 03:15:55 UTC

KML-Datei  |  Interaktive Karte

Die Karte zeigt die Peilungen für den Meteor. Die helleren Linien zeigen die Richtungen von den Beobachtungsorten beim Erscheinen des Meteors, und die dunkleren Linien, wo er zuletzt gesehen wurde. Der blaue Pfeil zeigt die sichtbare Bahn des Meteors.

static map
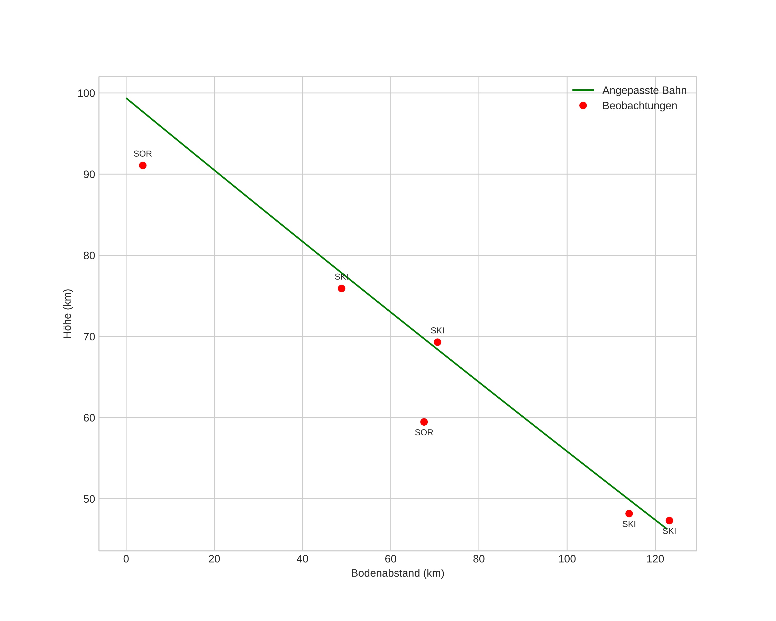
height profile
Atmosphärische Bahn des Meteors:
Anfangshöhe: 100,7 km
Endhöhe: 45,5 km
Startposition: 66,449N 19,287E
Endposition: 67,557N 20,205E
Richtung: 17,5°
Neigungswinkel: 23,1°
Eintrittsgeschwindigkeit: 59,4 km/s
Rektaszension des Radianten: 08:41 (130,4°)
Deklination des Radianten: -0,1°
Meteorstrom: Sigma-Hydriden
Bahnelemente des Meteoroiden:
Periheldistanz: 0,316 AU
Exzentrizität: 0,920
Inklination: 131,0°
Länge des aufsteigenden Knotens: 77,7°
Argument des Perihels: 114,7°
Mittlere Anomalie: 355,2°
Epoche: 2022 DEC 10 03:15:55
orbit plot

Nicht-interaktives Diagramm | Interaktives Diagramm

position vs time
speed and acceleration