🇳🇴 🇬🇧 🇩🇪 🇨🇿 🇫🇮

Meteor, poloha: Kiruna 2022-12-11 19:09:33 UTC

Soubor KML  |  InteraktivnĂ­ mapa

Mapa zobrazuje dráhy meteoru. Světlejší čáry ukazují směry od pozorovacích stanic při objevení se meteoru a tmavší čáry, kde byl naposledy viděn. Modrá šipka značí viditelnou dráhu meteoru.

static map
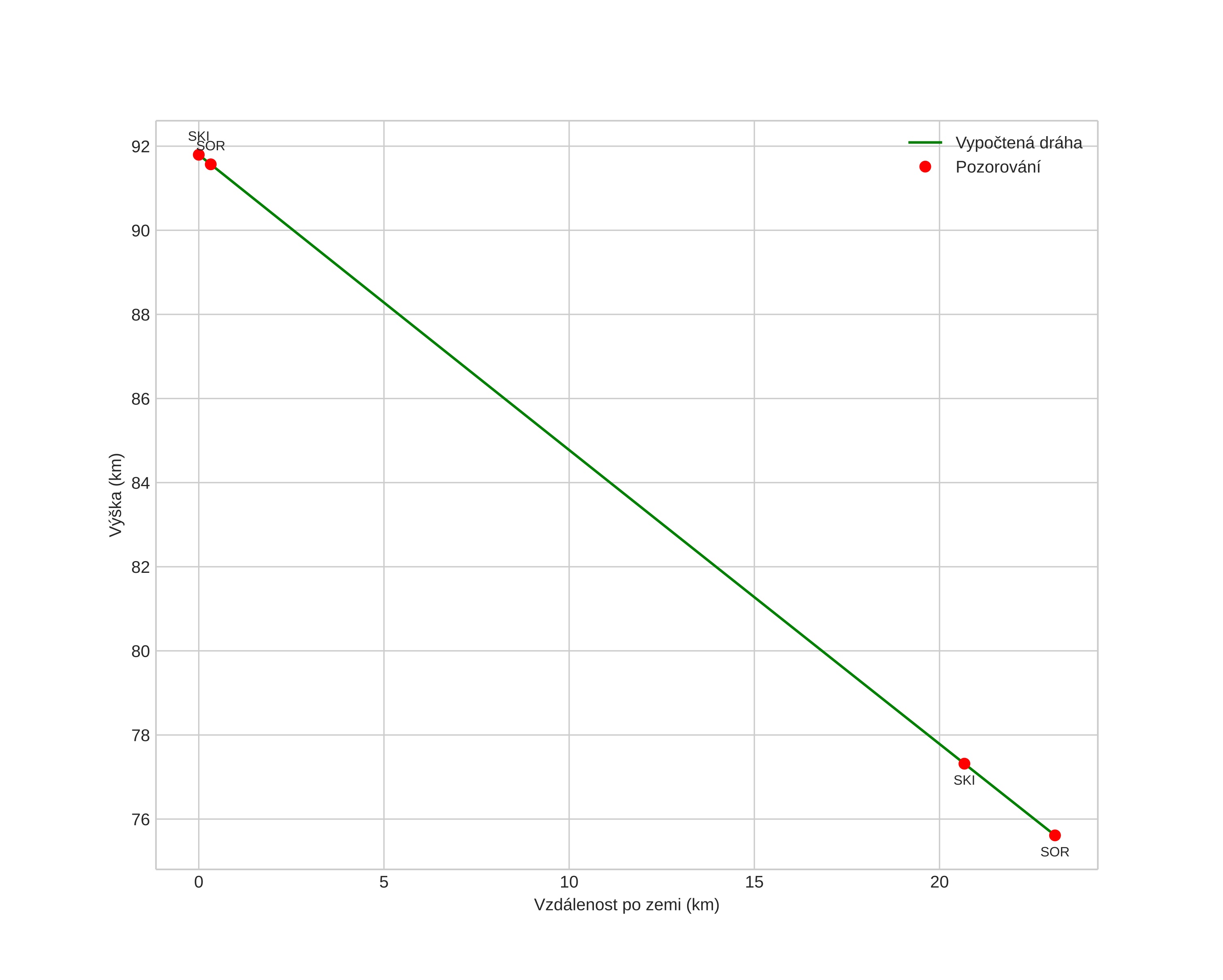
height profile
Atmosférická dráha meteoru:
Počáteční výška: 94,9 km
Konečná výška: 80,3 km
Počáteční poloha: 67,784N 20,967E
Konečná poloha: 67,758N 20,456E
Směr: 262,7°
Sklon: 33,9°
VstupnĂ­ rychlost: 36,4 km/s
Rektascenze radiantu: 07:24 (111,2°)
Deklinace radiantu: 32,7°
MeteorickĂ˝ roj: Geminidy
Elementy dráhy meteoroidu:
Vzdálenost v periheliu: 0,135 AU
Excentricita: 0,899
Sklon dráhy: 24,4°
Délka vzestupného uzlu: 259,4°
Argument perihelia: 325,4°
Střední anomálie: 336,1°
Epocha: 2022 DEC 11 19:09:33
orbit plot

NeinteraktivnĂ­ graf | InteraktivnĂ­ graf

position vs time
speed and acceleration