🇳🇴 🇬🇧 🇩🇪 🇨🇿 🇫🇮

Meteor Kirunan yllä 2022-12-11 19:09:33 UTC

KML-tiedosto  |  Interaktiivinen kartta

Kartta näyttää meteorin suuntahavainnot. Vaaleammat viivat näyttävät suunnat havaintoasemilta meteorin ilmestyessä, ja tummemmat viivat näyttävät, missä se viimeksi nähtiin. Sininen nuoli näyttää meteorin näkyvän lennon.

static map
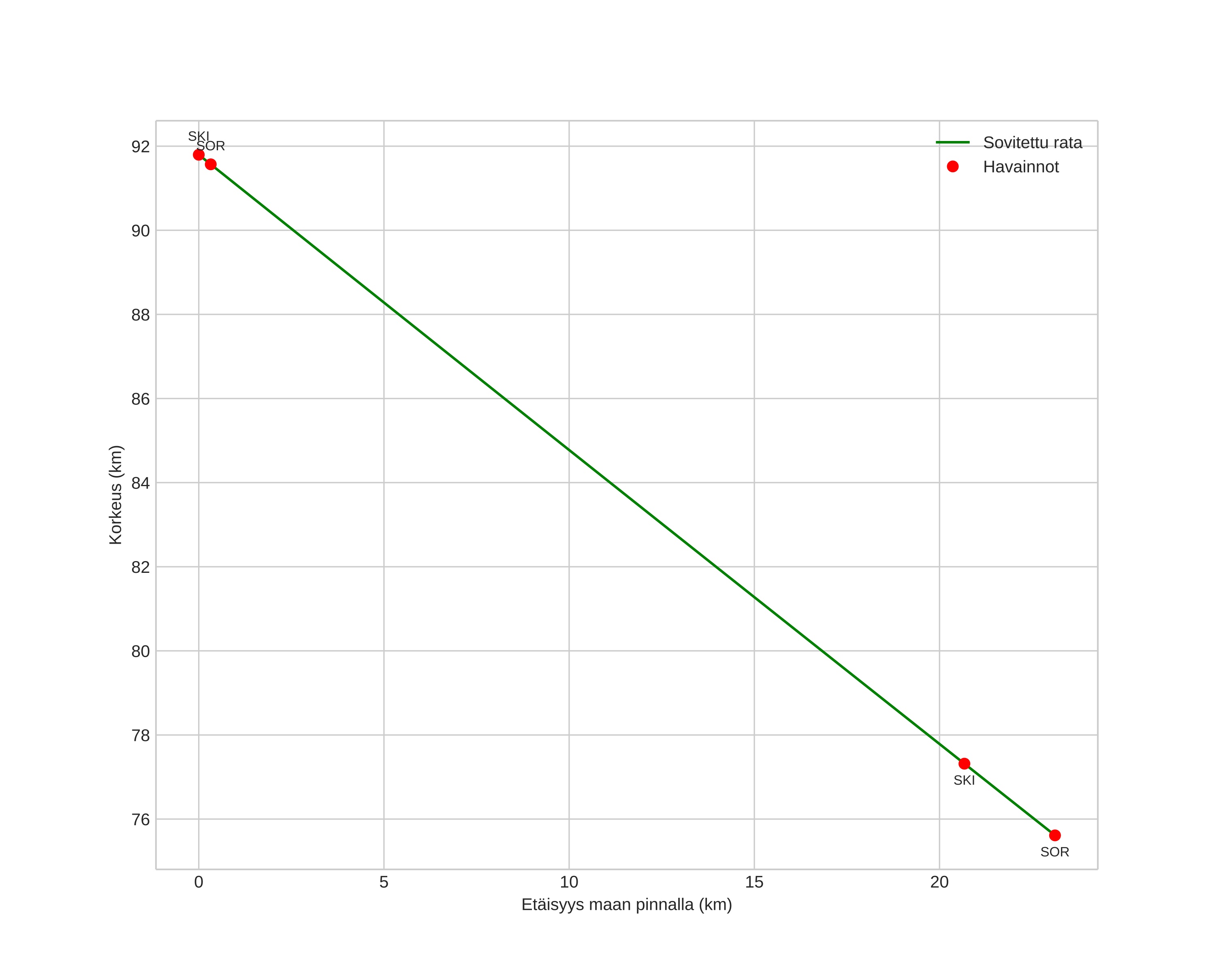
height profile
Meteorin ilmakehärata:
Alkukorkeus: 94,9 km
Loppukorkeus: 80,3 km
Alkupiste: 67,784N 20,967E
Loppupiste: 67,758N 20,456E
Suunta: 262,7°
Kallistuskulma: 33,9°
Tulonopeus: 36,4 km/s
Radiantin R,A,: 07:24 (111,2°)
Radiantin Dekl,: 32,7°
Meteoriparvi: Geminidit
Meteoroidin rataelementit:
Perihelietäisyys: 0,135 AU
Eksentrisyys: 0,899
Inklinaatio: 24,4°
Nousevan solmun pituus: 259,4°
Perihelin argumentti: 325,4°
Keskianomalia: 336,1°
Epookki: 2022 DEC 11 19:09:33
orbit plot

Ei-interaktiivinen kuvaaja | Interaktiivinen kuvaaja

position vs time
speed and acceleration