🇳🇴 🇬🇧 🇩🇪 🇨🇿 🇫🇮

Meteor über Kiruna 2022-12-11 19:09:33 UTC

KML-Datei  |  Interaktive Karte

Die Karte zeigt die Peilungen für den Meteor. Die helleren Linien zeigen die Richtungen von den Beobachtungsorten beim Erscheinen des Meteors, und die dunkleren Linien, wo er zuletzt gesehen wurde. Der blaue Pfeil zeigt die sichtbare Bahn des Meteors.

static map
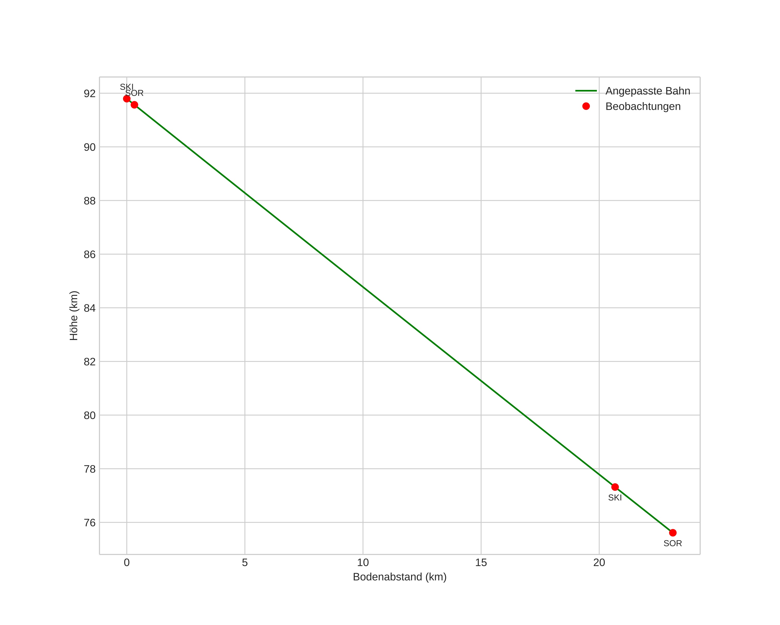
height profile
Atmosphärische Bahn des Meteors:
Anfangshöhe: 94,9 km
Endhöhe: 80,3 km
Startposition: 67,784N 20,967E
Endposition: 67,758N 20,456E
Richtung: 262,7°
Neigungswinkel: 33,9°
Eintrittsgeschwindigkeit: 36,4 km/s
Rektaszension des Radianten: 07:24 (111,2°)
Deklination des Radianten: 32,7°
Meteorstrom: Geminiden
Bahnelemente des Meteoroiden:
Periheldistanz: 0,135 AU
Exzentrizität: 0,899
Inklination: 24,4°
Länge des aufsteigenden Knotens: 259,4°
Argument des Perihels: 325,4°
Mittlere Anomalie: 336,1°
Epoche: 2022 DEC 11 19:09:33
orbit plot

Nicht-interaktives Diagramm | Interaktives Diagramm

position vs time
speed and acceleration