🇳🇴 🇬🇧 🇩🇪 🇨🇿 🇫🇮

Meteor, poloha: Moen 2022-12-11 23:33:39 UTC

Soubor KML  |  InteraktivnĂ­ mapa

Mapa zobrazuje dráhy meteoru. Světlejší čáry ukazují směry od pozorovacích stanic při objevení se meteoru a tmavší čáry, kde byl naposledy viděn. Modrá šipka značí viditelnou dráhu meteoru.

static map
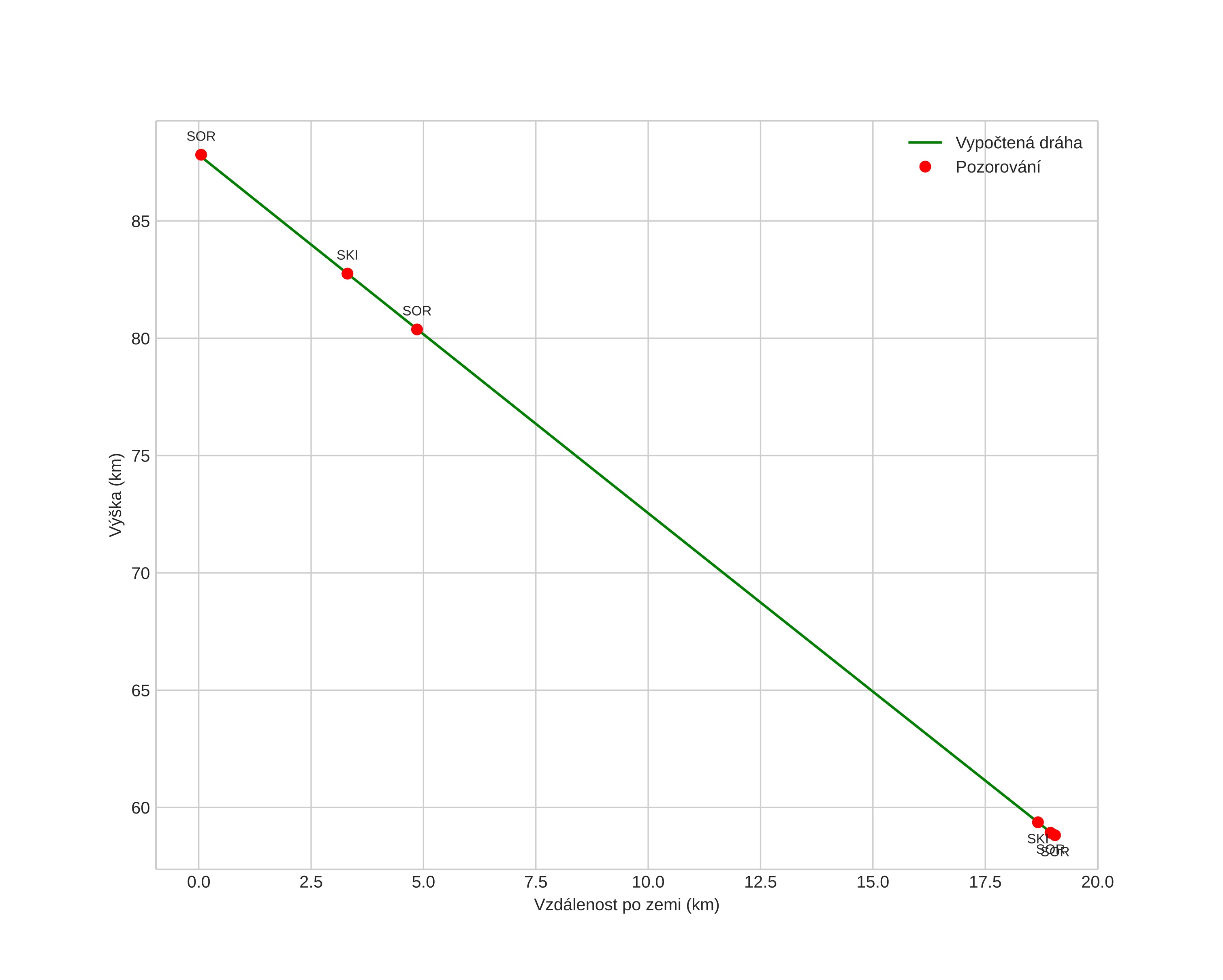
height profile
Atmosférická dráha meteoru:
Počáteční výška: 87,9 km
Konečná výška: 58,8 km
Počáteční poloha: 69,095N 18,423E
Konečná poloha: 68,958N 18,710E
Směr: 142,9°
Sklon: 56,8°
VstupnĂ­ rychlost: 19,1 km/s
Rektascenze radiantu: 22:36 (339,2°)
Deklinace radiantu: 66,2°
MeteorickĂ˝ roj: sporadickĂ˝
Elementy dráhy meteoroidu:
Vzdálenost v periheliu: 0,965 AU
Excentricita: 0,639
Sklon dráhy: 21,6°
Délka vzestupného uzlu: 259,6°
Argument perihelia: 198,6°
Střední anomálie: 356,8°
Epocha: 2022 DEC 11 23:33:39
orbit plot

NeinteraktivnĂ­ graf | InteraktivnĂ­ graf

position vs time
speed and acceleration