🇳🇴 🇬🇧 🇩🇪 🇨🇿 🇫🇮

Meteor Moenin yllä 2022-12-11 23:33:39 UTC

KML-tiedosto  |  Interaktiivinen kartta

Kartta näyttää meteorin suuntahavainnot. Vaaleammat viivat näyttävät suunnat havaintoasemilta meteorin ilmestyessä, ja tummemmat viivat näyttävät, missä se viimeksi nähtiin. Sininen nuoli näyttää meteorin näkyvän lennon.

static map
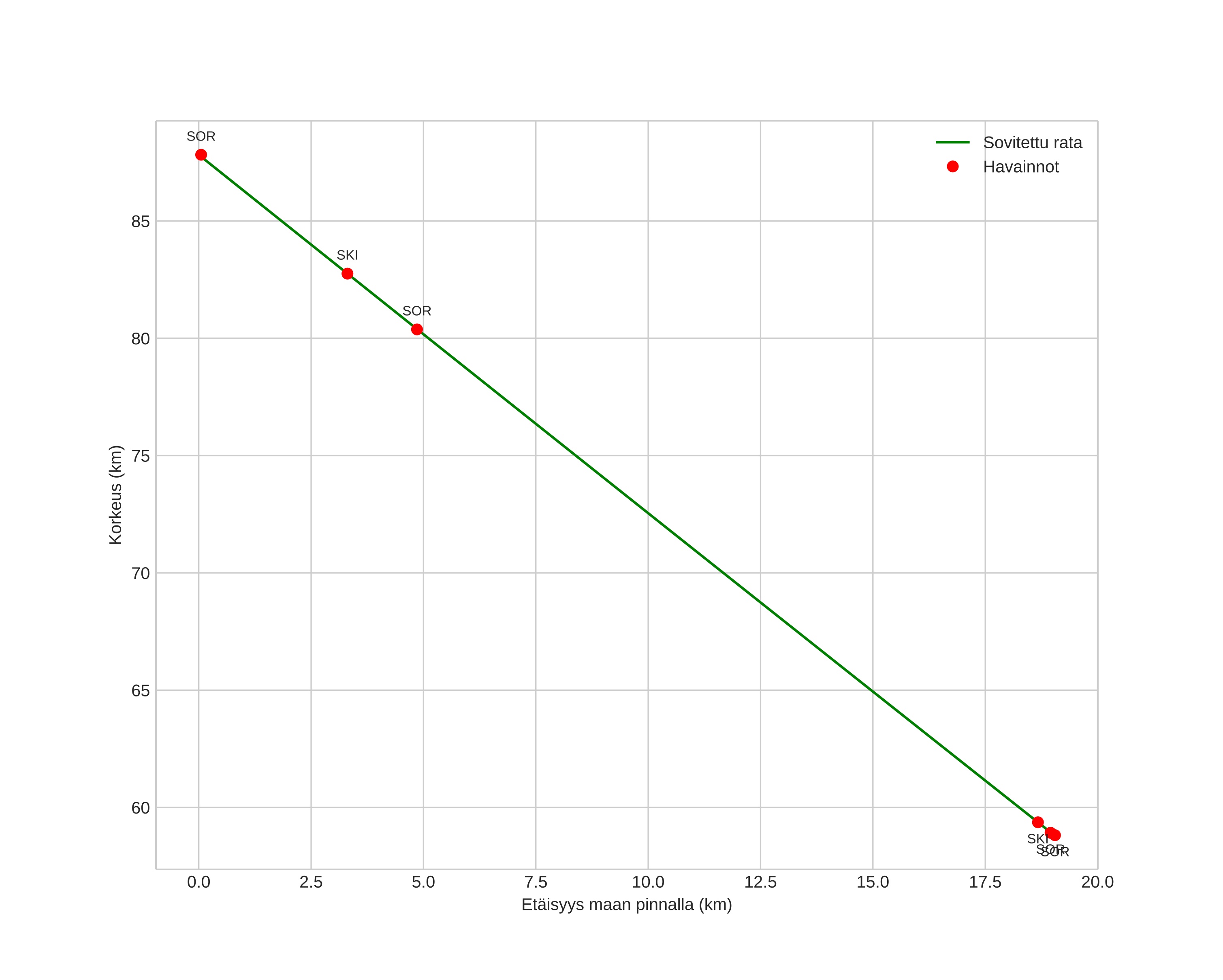
height profile
Meteorin ilmakehärata:
Alkukorkeus: 87,9 km
Loppukorkeus: 58,8 km
Alkupiste: 69,095N 18,423E
Loppupiste: 68,958N 18,710E
Suunta: 142,9°
Kallistuskulma: 56,8°
Tulonopeus: 19,1 km/s
Radiantin R,A,: 22:36 (339,2°)
Radiantin Dekl,: 66,2°
Meteoriparvi: Sporadinen
Meteoroidin rataelementit:
Perihelietäisyys: 0,965 AU
Eksentrisyys: 0,639
Inklinaatio: 21,6°
Nousevan solmun pituus: 259,6°
Perihelin argumentti: 198,6°
Keskianomalia: 356,8°
Epookki: 2022 DEC 11 23:33:39
orbit plot

Ei-interaktiivinen kuvaaja | Interaktiivinen kuvaaja

position vs time
speed and acceleration