🇳🇴 🇬🇧 🇩🇪 🇨🇿 🇫🇮

Meteor über Moen 2022-12-11 23:33:39 UTC

KML-Datei  |  Interaktive Karte

Die Karte zeigt die Peilungen für den Meteor. Die helleren Linien zeigen die Richtungen von den Beobachtungsorten beim Erscheinen des Meteors, und die dunkleren Linien, wo er zuletzt gesehen wurde. Der blaue Pfeil zeigt die sichtbare Bahn des Meteors.

static map
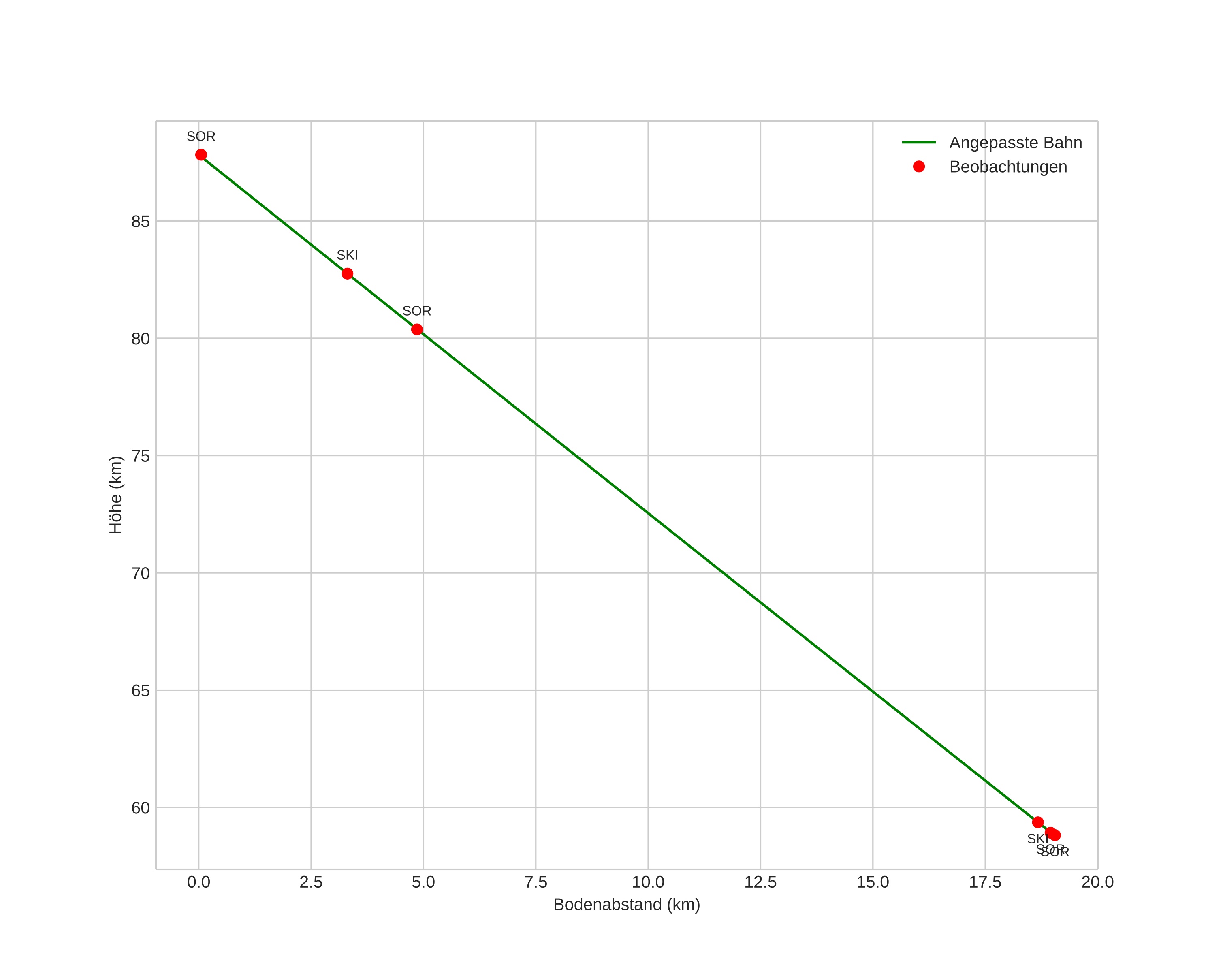
height profile
Atmosphärische Bahn des Meteors:
Anfangshöhe: 87,9 km
Endhöhe: 58,8 km
Startposition: 69,095N 18,423E
Endposition: 68,958N 18,710E
Richtung: 142,9°
Neigungswinkel: 56,8°
Eintrittsgeschwindigkeit: 19,1 km/s
Rektaszension des Radianten: 22:36 (339,2°)
Deklination des Radianten: 66,2°
Meteorstrom: sporadisch
Bahnelemente des Meteoroiden:
Periheldistanz: 0,965 AU
Exzentrizität: 0,639
Inklination: 21,6°
Länge des aufsteigenden Knotens: 259,6°
Argument des Perihels: 198,6°
Mittlere Anomalie: 356,8°
Epoche: 2022 DEC 11 23:33:39
orbit plot

Nicht-interaktives Diagramm | Interaktives Diagramm

position vs time
speed and acceleration