🇳🇴 🇬🇧 🇩🇪 🇨🇿 🇫🇮

Meteor, poloha: Borgheim 2022-12-14 21:17:13 UTC

Soubor KML  |  InteraktivnĂ­ mapa

Mapa zobrazuje dráhy meteoru. Světlejší čáry ukazují směry od pozorovacích stanic při objevení se meteoru a tmavší čáry, kde byl naposledy viděn. Modrá šipka značí viditelnou dráhu meteoru.

static map
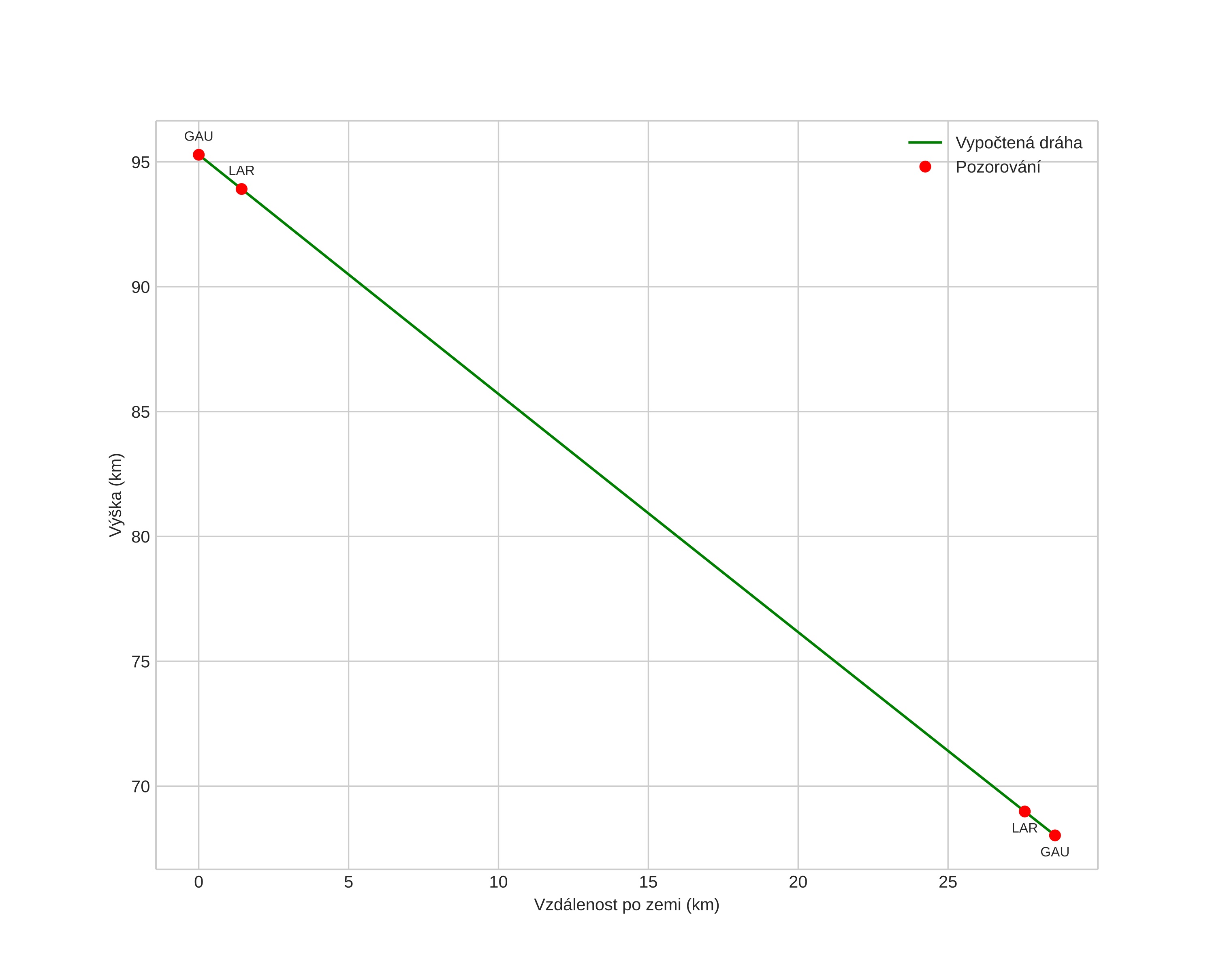
height profile
Atmosférická dráha meteoru:
Počáteční výška: 95,8 km
Konečná výška: 68,1 km
Počáteční poloha: 59,157N 10,894E
Konečná poloha: 59,185N 10,384E
Směr: 276,3°
Sklon: 43,5°
VstupnĂ­ rychlost: 37,4 km/s
Rektascenze radiantu: 07:33 (113,5°)
Deklinace radiantu: 32,6°
MeteorickĂ˝ roj: Geminidy
Elementy dráhy meteoroidu:
Vzdálenost v periheliu: 0,141 AU
Excentricita: 0,907
Sklon dráhy: 25,2°
Délka vzestupného uzlu: 262,5°
Argument perihelia: 323,4°
Střední anomálie: 340,5°
Epocha: 2022 DEC 14 21:17:13
orbit plot

NeinteraktivnĂ­ graf | InteraktivnĂ­ graf

position vs time
speed and acceleration