🇳🇴 🇬🇧 🇩🇪 🇨🇿 🇫🇮

Meteor Borgheimin yllä 2022-12-14 21:17:13 UTC

KML-tiedosto  |  Interaktiivinen kartta

Kartta näyttää meteorin suuntahavainnot. Vaaleammat viivat näyttävät suunnat havaintoasemilta meteorin ilmestyessä, ja tummemmat viivat näyttävät, missä se viimeksi nähtiin. Sininen nuoli näyttää meteorin näkyvän lennon.

static map
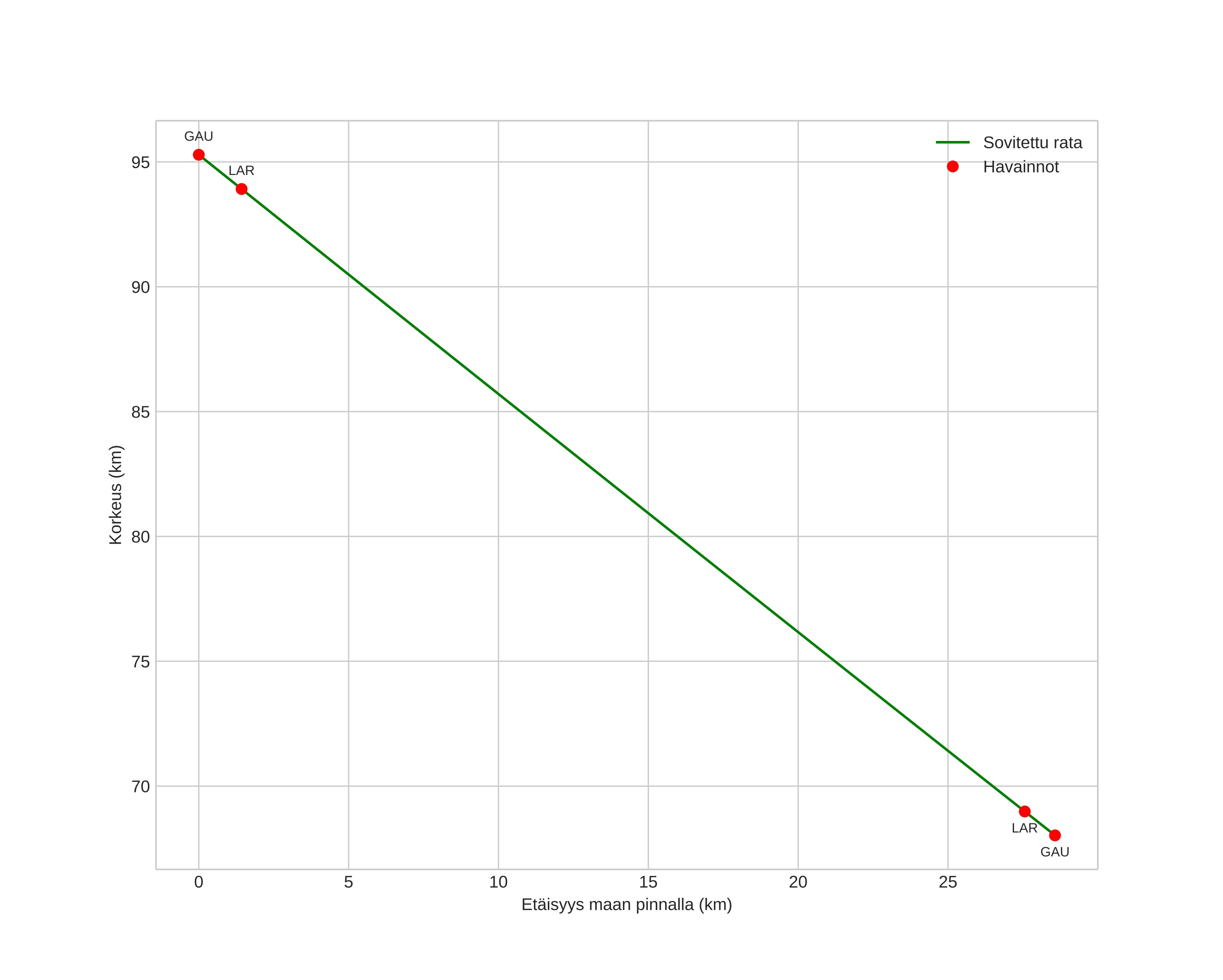
height profile
Meteorin ilmakehärata:
Alkukorkeus: 95,8 km
Loppukorkeus: 68,1 km
Alkupiste: 59,157N 10,894E
Loppupiste: 59,185N 10,384E
Suunta: 276,3°
Kallistuskulma: 43,5°
Tulonopeus: 37,4 km/s
Radiantin R,A,: 07:33 (113,5°)
Radiantin Dekl,: 32,6°
Meteoriparvi: Geminidit
Meteoroidin rataelementit:
Perihelietäisyys: 0,141 AU
Eksentrisyys: 0,907
Inklinaatio: 25,2°
Nousevan solmun pituus: 262,5°
Perihelin argumentti: 323,4°
Keskianomalia: 340,5°
Epookki: 2022 DEC 14 21:17:13
orbit plot

Ei-interaktiivinen kuvaaja | Interaktiivinen kuvaaja

position vs time
speed and acceleration