🇳🇴 🇬🇧 🇩🇪 🇨🇿 🇫🇮

Meteor, poloha: Hamnvik 2022-12-14 22:50:36 UTC

Soubor KML

Mapa zobrazuje dráhy meteoru. Světlejší čáry ukazují směry od pozorovacích stanic při objevení se meteoru a tmavší čáry, kde byl naposledy viděn. Modrá šipka značí viditelnou dráhu meteoru.

static map
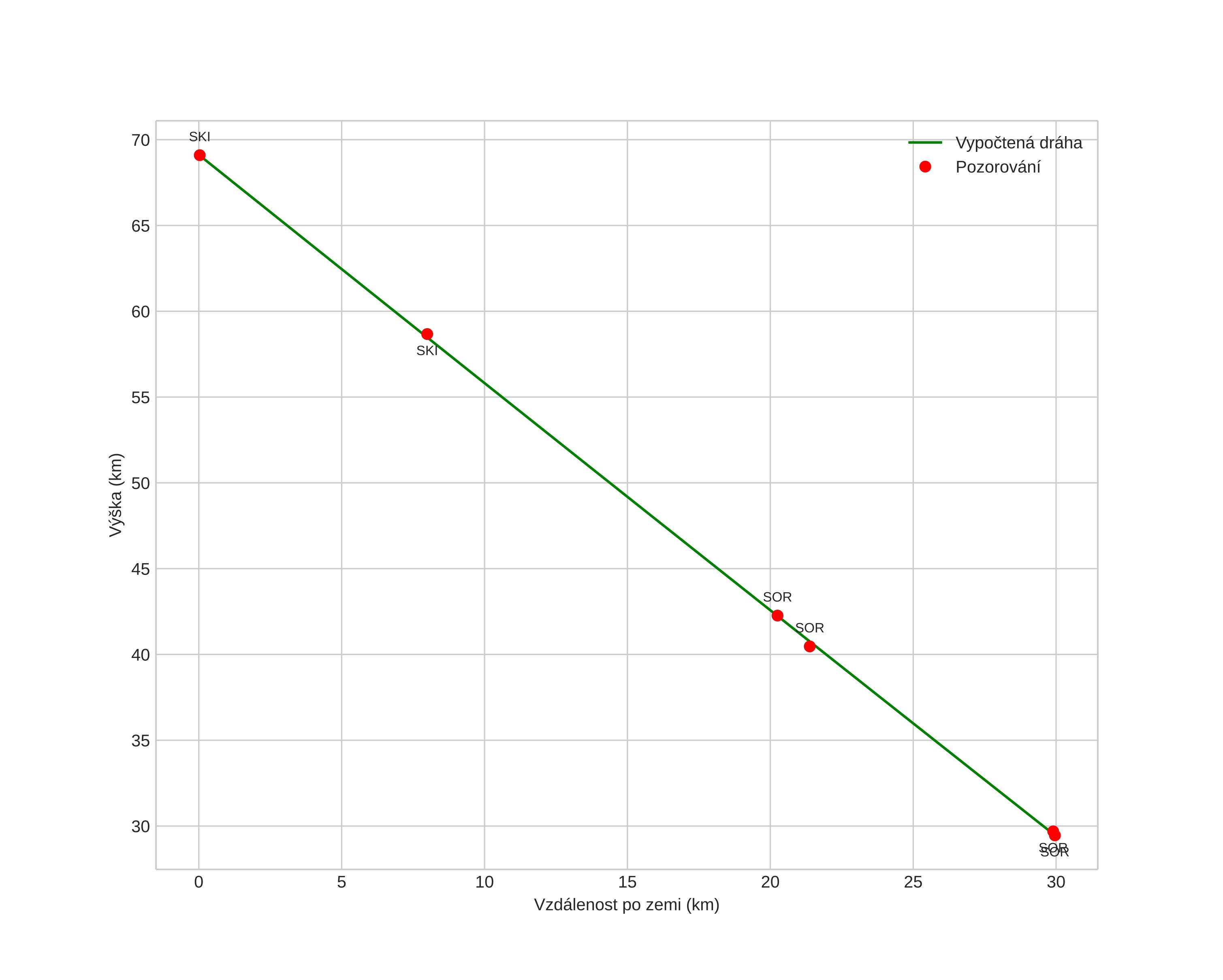
height profile
Atmosférická dráha meteoru:
Počáteční výška: 69,1 km
Konečná výška: 29,5 km
Počáteční poloha: 68,625N 17,564E
Konečná poloha: 68,857N 17,185E
Směr: 329,5°
Sklon: 52,9°
VstupnĂ­ rychlost: 22,5 km/s
Rektascenze radiantu: 07:00 (105,1°)
Deklinace radiantu: 31,0°
MeteorickĂ˝ roj: sporadickĂ˝
Elementy dráhy meteoroidu:
Vzdálenost v periheliu: 0,381 AU
Excentricita: 0,611
Sklon dráhy: 6,8°
Délka vzestupného uzlu: 262,6°
Argument perihelia: 308,2°
Střední anomálie: 304,3°
Epocha: 2022 DEC 14 22:50:36
orbit plot

NeinteraktivnĂ­ graf

position vs time
speed and acceleration