🇳🇴 🇬🇧 🇩🇪 🇨🇿 🇫🇮

Meteor Hamnvikin yllä 2022-12-14 22:50:36 UTC

KML-tiedosto

Kartta näyttää meteorin suuntahavainnot. Vaaleammat viivat näyttävät suunnat havaintoasemilta meteorin ilmestyessä, ja tummemmat viivat näyttävät, missä se viimeksi nähtiin. Sininen nuoli näyttää meteorin näkyvän lennon.

static map
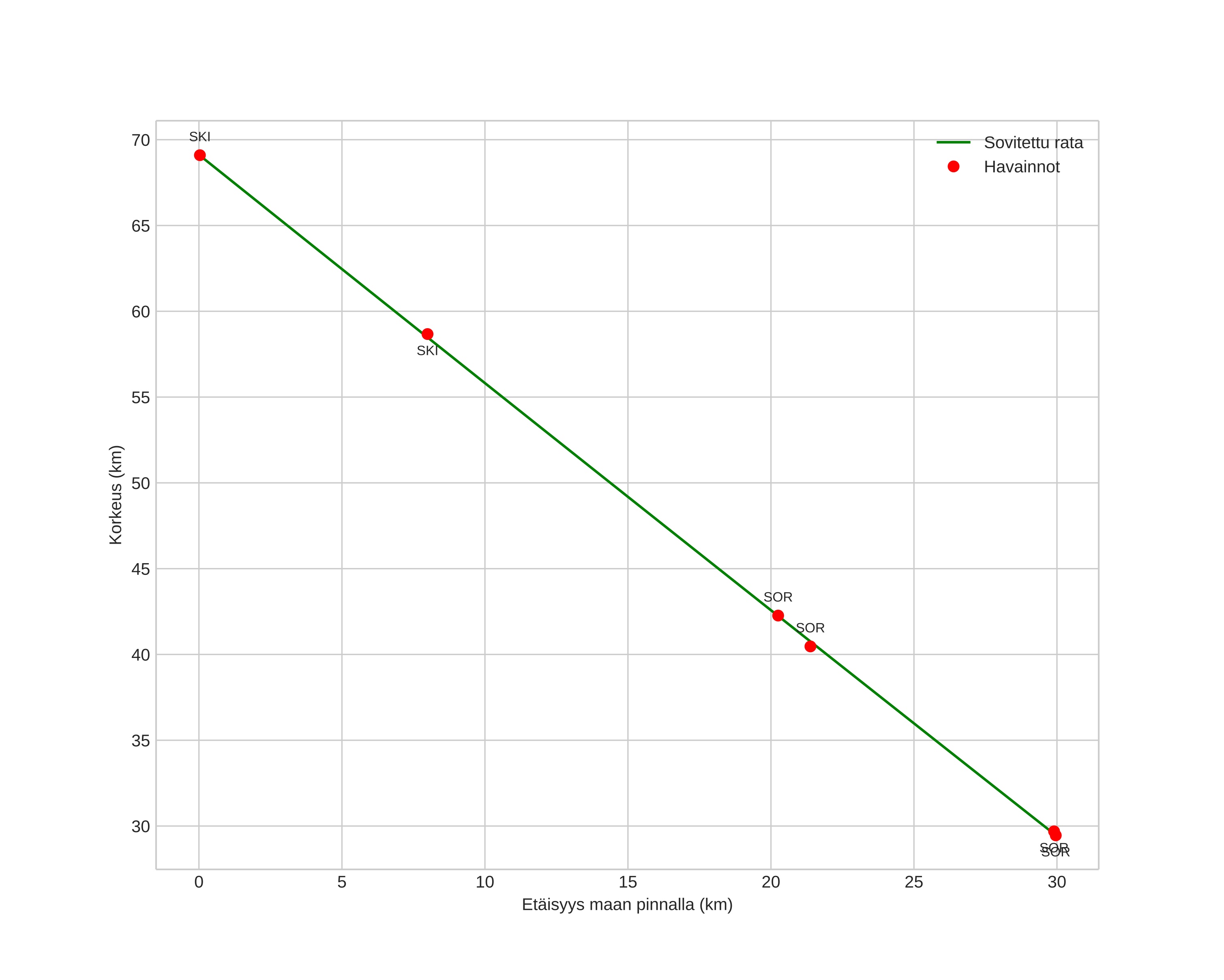
height profile
Meteorin ilmakehärata:
Alkukorkeus: 69,1 km
Loppukorkeus: 29,5 km
Alkupiste: 68,625N 17,564E
Loppupiste: 68,857N 17,185E
Suunta: 329,5°
Kallistuskulma: 52,9°
Tulonopeus: 22,5 km/s
Radiantin R,A,: 07:00 (105,1°)
Radiantin Dekl,: 31,0°
Meteoriparvi: Sporadinen
Meteoroidin rataelementit:
Perihelietäisyys: 0,381 AU
Eksentrisyys: 0,611
Inklinaatio: 6,8°
Nousevan solmun pituus: 262,6°
Perihelin argumentti: 308,2°
Keskianomalia: 304,3°
Epookki: 2022 DEC 14 22:50:36
orbit plot

Ei-interaktiivinen kuvaaja

position vs time
speed and acceleration