🇳🇴 🇬🇧 🇩🇪 🇨🇿 🇫🇮

Meteor über Hamnvik 2022-12-14 22:50:36 UTC

KML-Datei

Die Karte zeigt die Peilungen für den Meteor. Die helleren Linien zeigen die Richtungen von den Beobachtungsorten beim Erscheinen des Meteors, und die dunkleren Linien, wo er zuletzt gesehen wurde. Der blaue Pfeil zeigt die sichtbare Bahn des Meteors.

static map
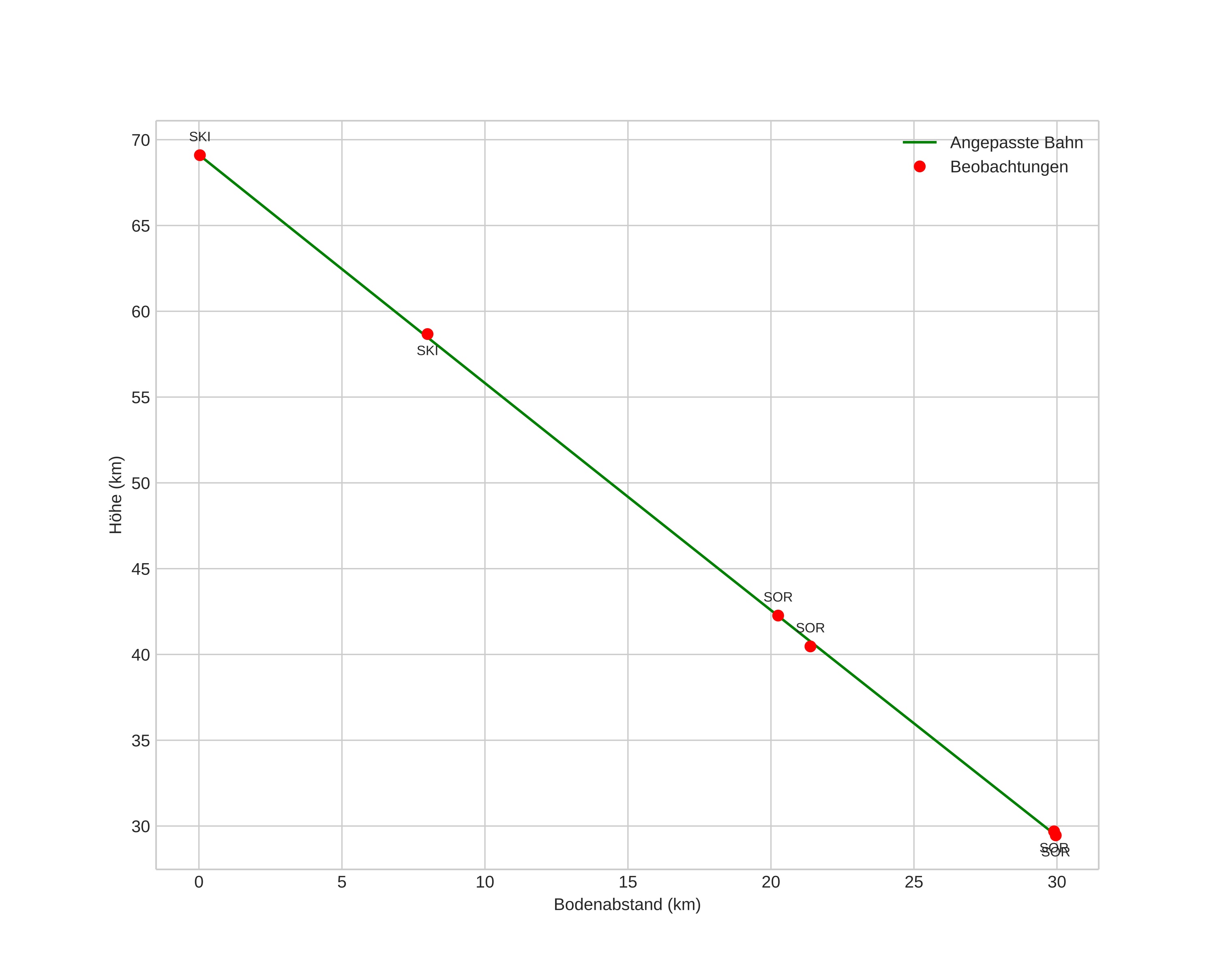
height profile
Atmosphärische Bahn des Meteors:
Anfangshöhe: 69,1 km
Endhöhe: 29,5 km
Startposition: 68,625N 17,564E
Endposition: 68,857N 17,185E
Richtung: 329,5°
Neigungswinkel: 52,9°
Eintrittsgeschwindigkeit: 22,5 km/s
Rektaszension des Radianten: 07:00 (105,1°)
Deklination des Radianten: 31,0°
Meteorstrom: sporadisch
Bahnelemente des Meteoroiden:
Periheldistanz: 0,381 AU
Exzentrizität: 0,611
Inklination: 6,8°
Länge des aufsteigenden Knotens: 262,6°
Argument des Perihels: 308,2°
Mittlere Anomalie: 304,3°
Epoche: 2022 DEC 14 22:50:36
orbit plot

Nicht-interaktives Diagramm

position vs time
speed and acceleration