🇳🇴 🇬🇧 🇩🇪 🇨🇿 🇫🇮

Meteor, poloha: Grästorp 2022-12-15 03:15:27 UTC

Soubor KML  |  Interaktivní mapa

Mapa zobrazuje dráhy meteoru. Světlejší čáry ukazují směry od pozorovacích stanic při objevení se meteoru a tmavší čáry, kde byl naposledy viděn. Modrá šipka značí viditelnou dráhu meteoru.

static map
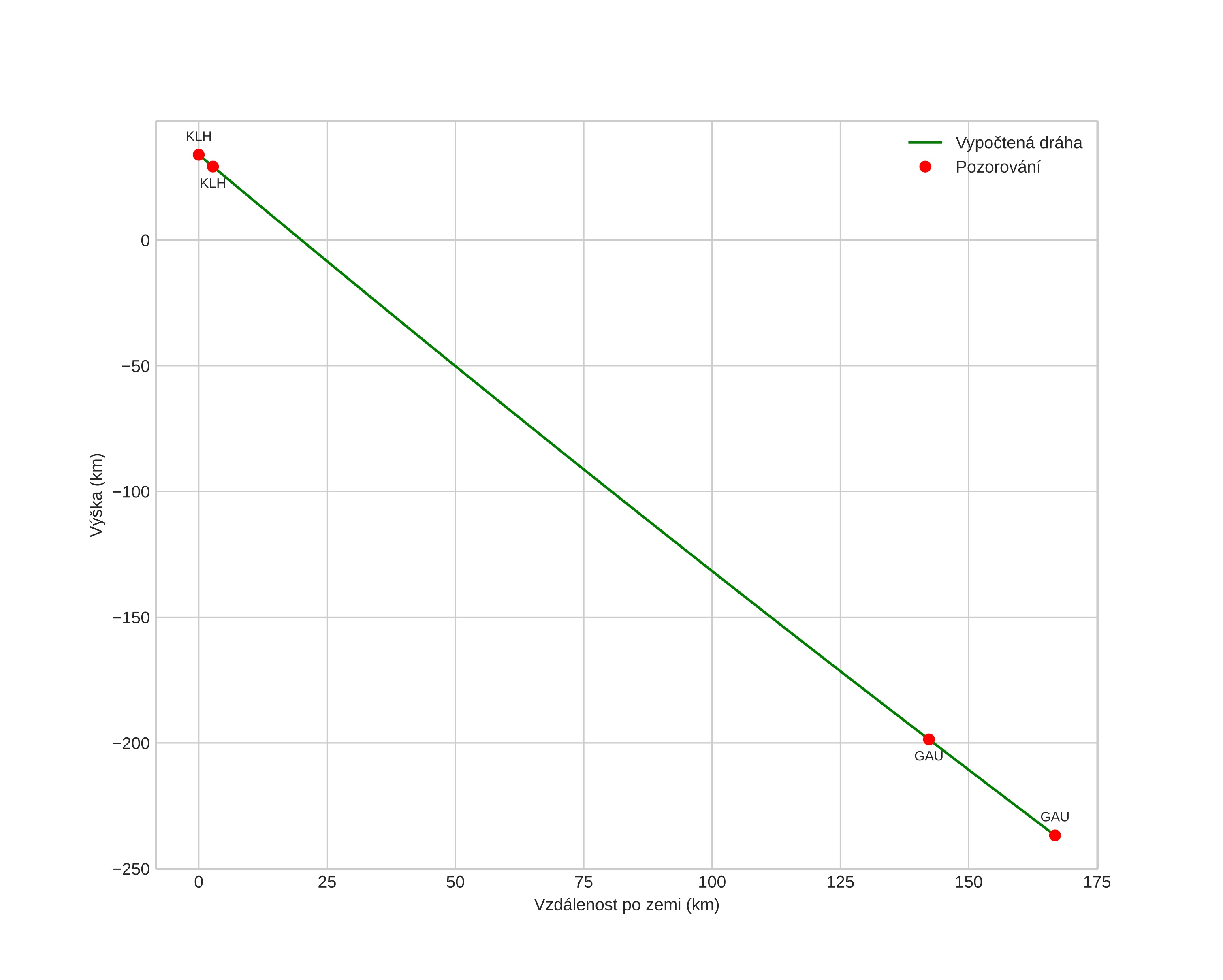
height profile
Atmosférická dráha meteoru:
Počáteční výška: 33,9 km
Konečná výška: -236,8 km
Počáteční poloha: 57,404N 10,609E
Konečná poloha: 58,346N 12,804E
Směr: 50,2°
Sklon: 58,4°
orbit plot
position vs time
speed and acceleration