🇳🇴 🇬🇧 🇩🇪 🇨🇿 🇫🇮

Meteor Grästorpin yllä 2022-12-15 03:15:27 UTC

KML-tiedosto  |  Interaktiivinen kartta

Kartta näyttää meteorin suuntahavainnot. Vaaleammat viivat näyttävät suunnat havaintoasemilta meteorin ilmestyessä, ja tummemmat viivat näyttävät, missä se viimeksi nähtiin. Sininen nuoli näyttää meteorin näkyvän lennon.

static map
height profile
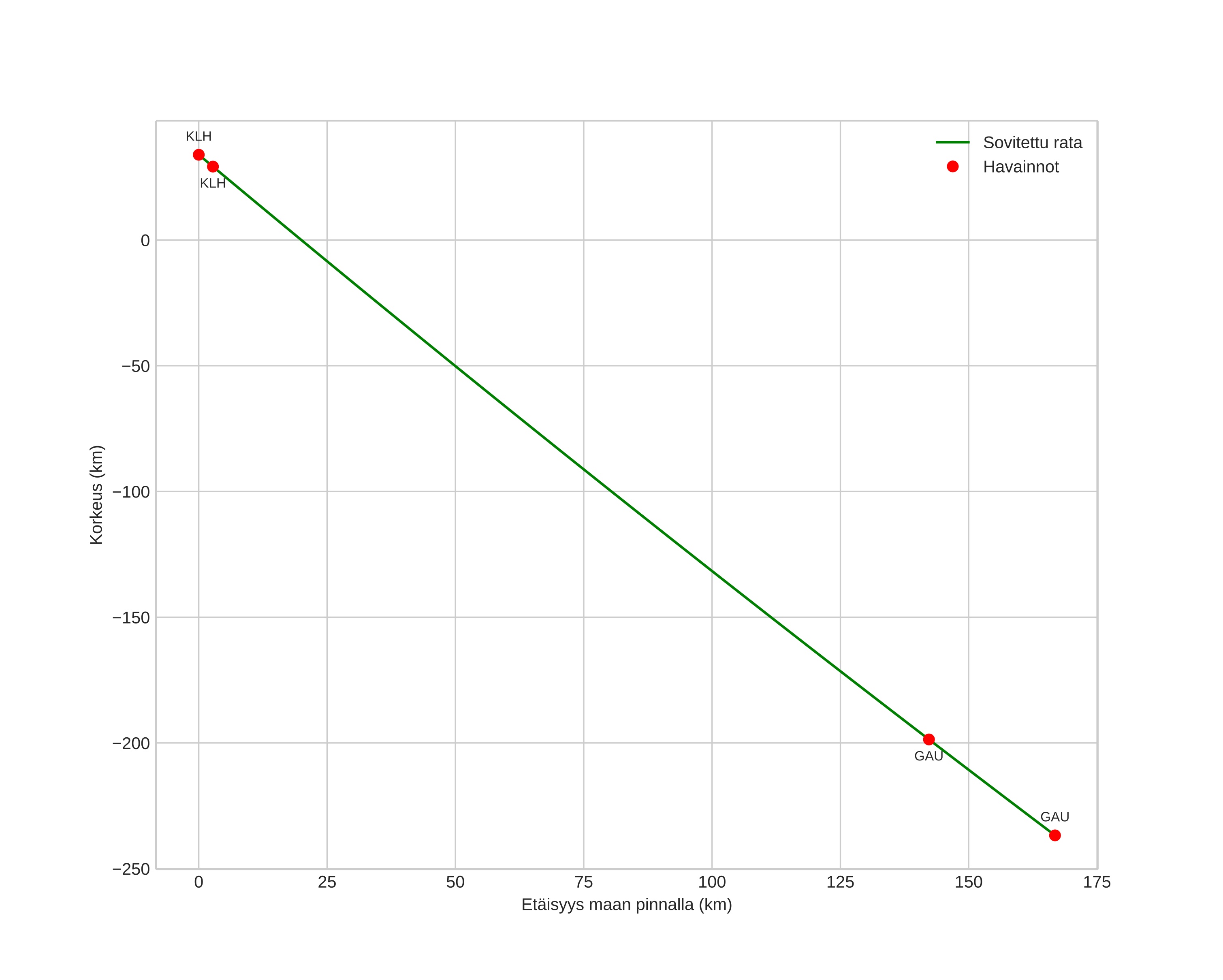
Meteorin ilmakehärata:
Alkukorkeus: 33,9 km
Loppukorkeus: -236,8 km
Alkupiste: 57,404N 10,609E
Loppupiste: 58,346N 12,804E
Suunta: 50,2°
Kallistuskulma: 58,4°
orbit plot
position vs time
speed and acceleration