🇳🇴 🇬🇧 🇩🇪 🇨🇿 🇫🇮

Meteor über Grästorp 2022-12-15 03:15:27 UTC

KML-Datei  |  Interaktive Karte

Die Karte zeigt die Peilungen für den Meteor. Die helleren Linien zeigen die Richtungen von den Beobachtungsorten beim Erscheinen des Meteors, und die dunkleren Linien, wo er zuletzt gesehen wurde. Der blaue Pfeil zeigt die sichtbare Bahn des Meteors.

static map
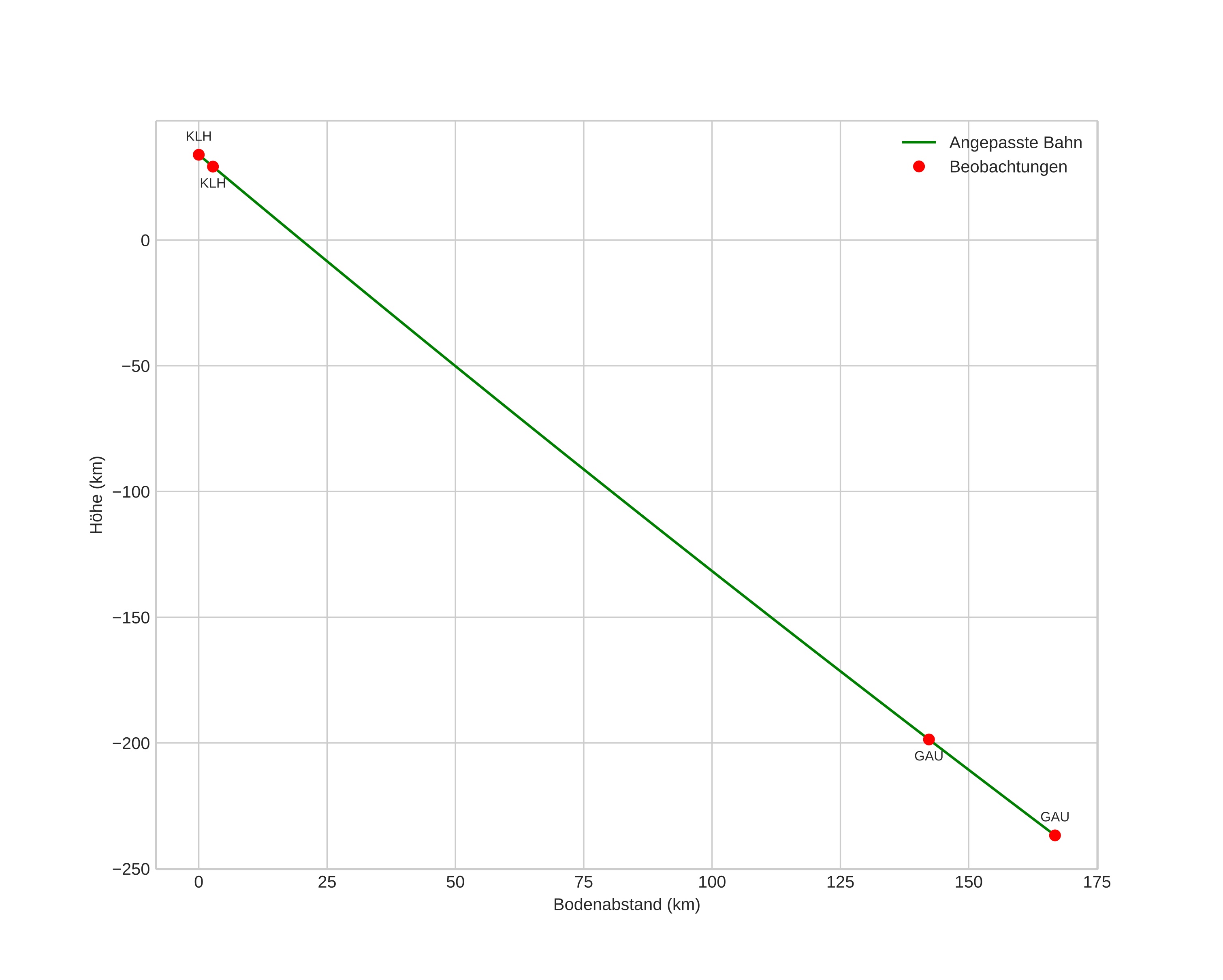
height profile
Atmosphärische Bahn des Meteors:
Anfangshöhe: 33,9 km
Endhöhe: -236,8 km
Startposition: 57,404N 10,609E
Endposition: 58,346N 12,804E
Richtung: 50,2°
Neigungswinkel: 58,4°
orbit plot
position vs time
speed and acceleration