🇳🇴 🇬🇧 🇩🇪 🇨🇿 🇫🇮

Meteor, poloha: Storsteinnes 2023-02-02 00:17:22 UTC

Soubor KML  |  InteraktivnĂ­ mapa

Mapa zobrazuje dráhy meteoru. Světlejší čáry ukazují směry od pozorovacích stanic při objevení se meteoru a tmavší čáry, kde byl naposledy viděn. Modrá šipka značí viditelnou dráhu meteoru.

static map
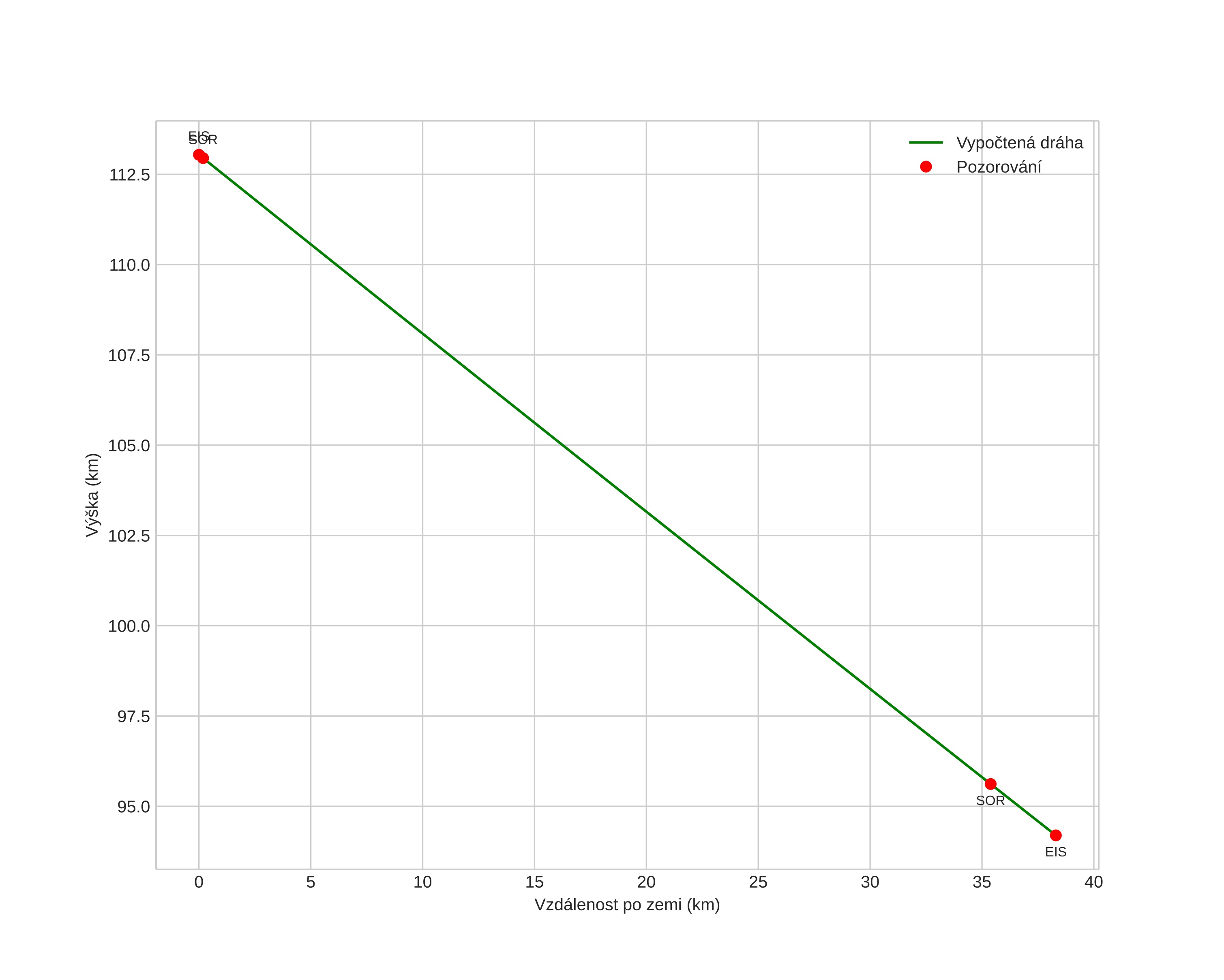
height profile
Atmosférická dráha meteoru:
Počáteční výška: 113,0 km
Konečná výška: 94,2 km
Počáteční poloha: 69,271N 20,005E
Konečná poloha: 69,195N 19,058E
Směr: 257,6°
Sklon: 26,1°
VstupnĂ­ rychlost: 59,3 km/s
Rektascenze radiantu: 16:31 (247,9°)
Deklinace radiantu: 28,2°
MeteorickĂ˝ roj: sporadickĂ˝
Elementy dráhy meteoroidu:
Vzdálenost v periheliu: 0,934 AU
Excentricita: 1,317
Sklon dráhy: 97,8°
Délka vzestupného uzlu: 312,6°
Argument perihelia: 155,3°
Střední anomálie: 3,0°
Epocha: 2023 FEB 02 00:17:22
orbit plot

NeinteraktivnĂ­ graf | InteraktivnĂ­ graf

position vs time
speed and acceleration

Eiscat (EIS) cam6

gnomonic
Videa
• Původní
Obrázky
• Původní
Textové soubory
• Detekce
• Pozorování
• Souřadnice
• Chybová hlášení
• Protokol
Jasnost