🇳🇴 🇬🇧 🇩🇪 🇨🇿 🇫🇮

Meteor Storsteinnesin yllä 2023-02-02 00:17:22 UTC

KML-tiedosto  |  Interaktiivinen kartta

Kartta näyttää meteorin suuntahavainnot. Vaaleammat viivat näyttävät suunnat havaintoasemilta meteorin ilmestyessä, ja tummemmat viivat näyttävät, missä se viimeksi nähtiin. Sininen nuoli näyttää meteorin näkyvän lennon.

static map
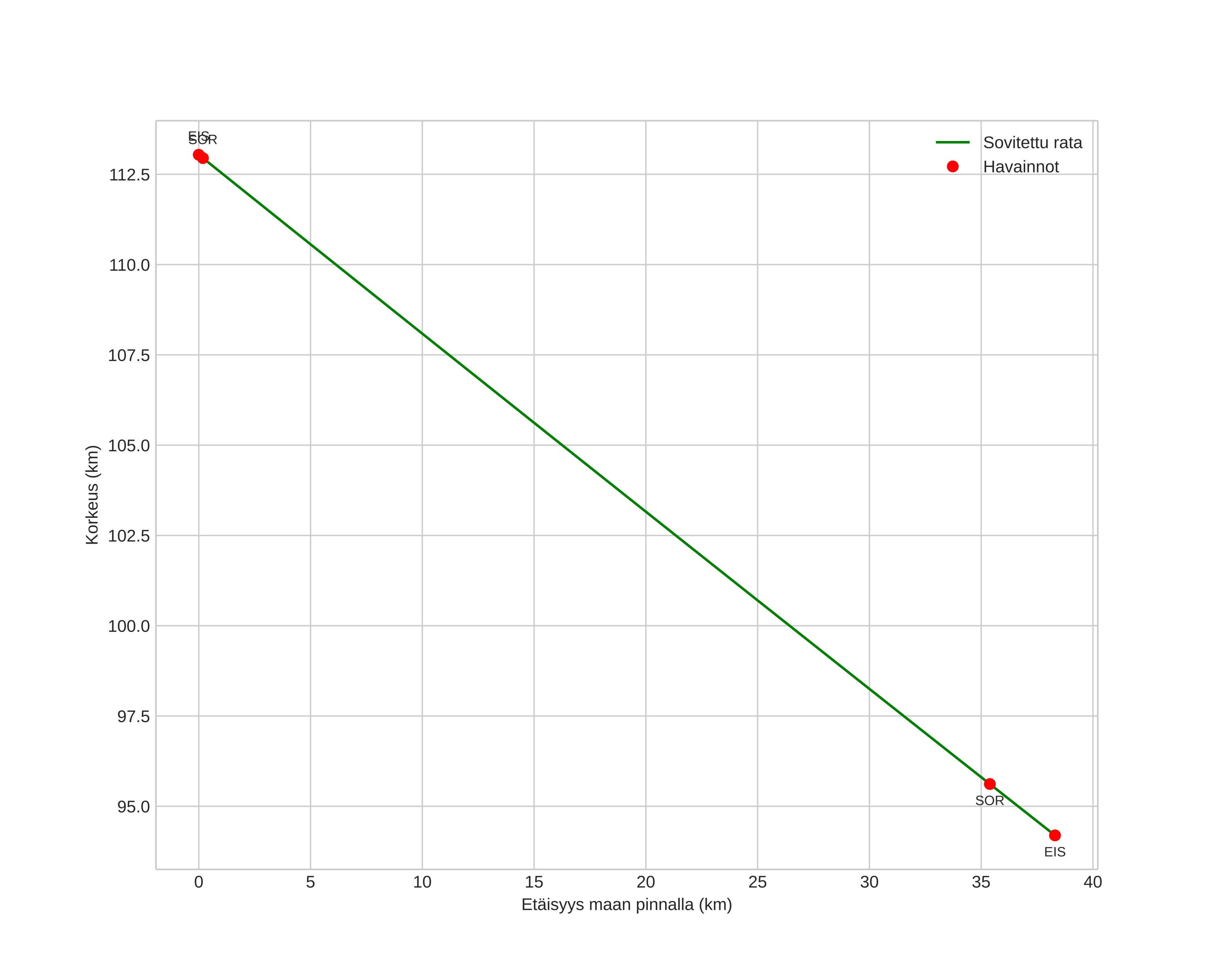
height profile
Meteorin ilmakehärata:
Alkukorkeus: 113,0 km
Loppukorkeus: 94,2 km
Alkupiste: 69,271N 20,005E
Loppupiste: 69,195N 19,058E
Suunta: 257,6°
Kallistuskulma: 26,1°
Tulonopeus: 59,3 km/s
Radiantin R,A,: 16:31 (247,9°)
Radiantin Dekl,: 28,2°
Meteoriparvi: Sporadinen
Meteoroidin rataelementit:
Perihelietäisyys: 0,934 AU
Eksentrisyys: 1,317
Inklinaatio: 97,8°
Nousevan solmun pituus: 312,6°
Perihelin argumentti: 155,3°
Keskianomalia: 3,0°
Epookki: 2023 FEB 02 00:17:22
orbit plot

Ei-interaktiivinen kuvaaja | Interaktiivinen kuvaaja

position vs time
speed and acceleration

Eiscat (EIS) cam6

gnomonic
Videot:
• Alkuperäinen
Kuvat:
• Alkuperäinen
Tekstitiedostot:
• Havaintoraportti
• Observaatio
• Koordinaatit
• Virheilmoitukset
• Loki
Kirkkaus