🇳🇴 🇬🇧 🇩🇪 🇨🇿 🇫🇮

Meteor über Storsteinnes 2023-02-02 00:17:22 UTC

KML-Datei  |  Interaktive Karte

Die Karte zeigt die Peilungen für den Meteor. Die helleren Linien zeigen die Richtungen von den Beobachtungsorten beim Erscheinen des Meteors, und die dunkleren Linien, wo er zuletzt gesehen wurde. Der blaue Pfeil zeigt die sichtbare Bahn des Meteors.

static map
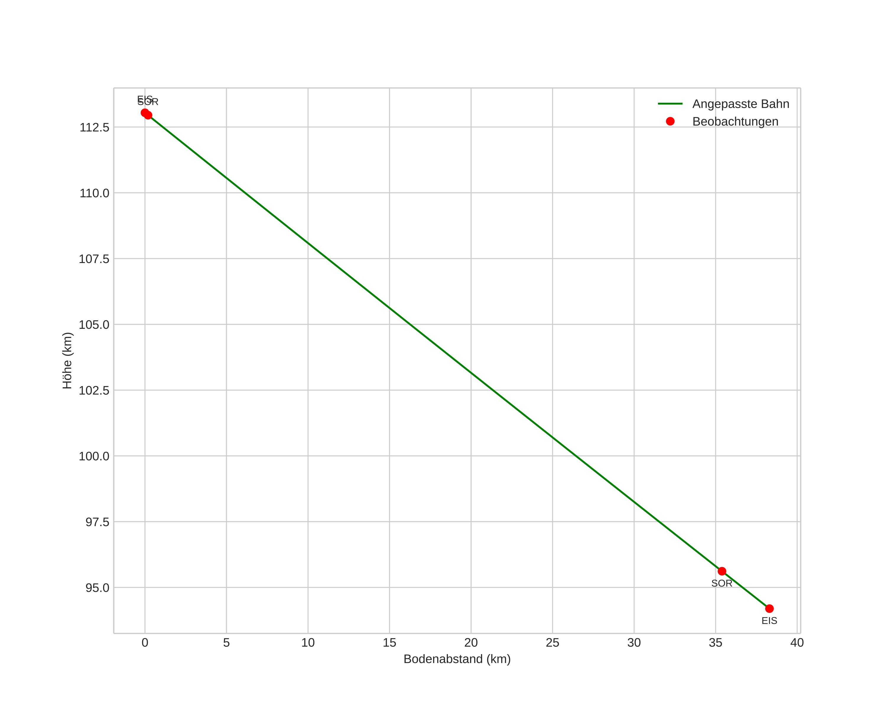
height profile
Atmosphärische Bahn des Meteors:
Anfangshöhe: 113,0 km
Endhöhe: 94,2 km
Startposition: 69,271N 20,005E
Endposition: 69,195N 19,058E
Richtung: 257,6°
Neigungswinkel: 26,1°
Eintrittsgeschwindigkeit: 59,3 km/s
Rektaszension des Radianten: 16:31 (247,9°)
Deklination des Radianten: 28,2°
Meteorstrom: sporadisch
Bahnelemente des Meteoroiden:
Periheldistanz: 0,934 AU
Exzentrizität: 1,317
Inklination: 97,8°
Länge des aufsteigenden Knotens: 312,6°
Argument des Perihels: 155,3°
Mittlere Anomalie: 3,0°
Epoche: 2023 FEB 02 00:17:22
orbit plot

Nicht-interaktives Diagramm | Interaktives Diagramm

position vs time
speed and acceleration

Eiscat (EIS) cam6

gnomonic
Videos
• Original
Bilder
• Original
Textdateien
• Erkennung
• Beobachtung
• Koordinaten
• Fehlermeldungen
• Protokoll
Helligkeit