🇳🇴 🇬🇧 🇩🇪 🇨🇿 🇫🇮

Meteor, poloha: Sæby 2023-03-26 20:22:55 UTC

Soubor KML  |  InteraktivnĂ­ mapa

Mapa zobrazuje dráhy meteoru. Světlejší čáry ukazují směry od pozorovacích stanic při objevení se meteoru a tmavší čáry, kde byl naposledy viděn. Modrá šipka značí viditelnou dráhu meteoru.

static map
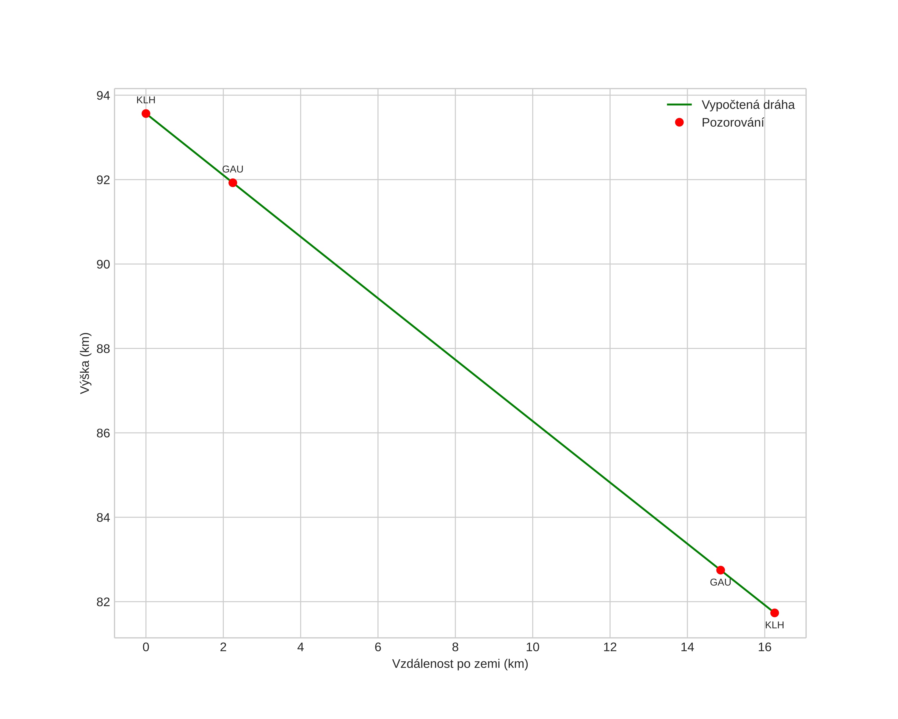
height profile
Atmosférická dráha meteoru:
Počáteční výška: 93,6 km
Konečná výška: 81,8 km
Počáteční poloha: 57,265N 10,756E
Konečná poloha: 57,367N 10,561E
Směr: 314,1°
Sklon: 36,0°
VstupnĂ­ rychlost: 21,2 km/s
Rektascenze radiantu: 11:50 (177,7°)
Deklinace radiantu: 6,7°
MeteorickĂ˝ roj: sporadickĂ˝
Elementy dráhy meteoroidu:
Vzdálenost v periheliu: 0,734 AU
Excentricita: 0,676
Sklon dráhy: 2,8°
Délka vzestupného uzlu: 5,6°
Argument perihelia: 249,7°
Střední anomálie: 347,6°
Epocha: 2023 MAR 26 20:22:55
orbit plot

NeinteraktivnĂ­ graf | InteraktivnĂ­ graf

position vs time
speed and acceleration