🇳🇴 🇬🇧 🇩🇪 🇨🇿 🇫🇮

Meteor über Sæby 2023-03-26 20:22:55 UTC

KML-Datei  |  Interaktive Karte

Die Karte zeigt die Peilungen für den Meteor. Die helleren Linien zeigen die Richtungen von den Beobachtungsorten beim Erscheinen des Meteors, und die dunkleren Linien, wo er zuletzt gesehen wurde. Der blaue Pfeil zeigt die sichtbare Bahn des Meteors.

static map
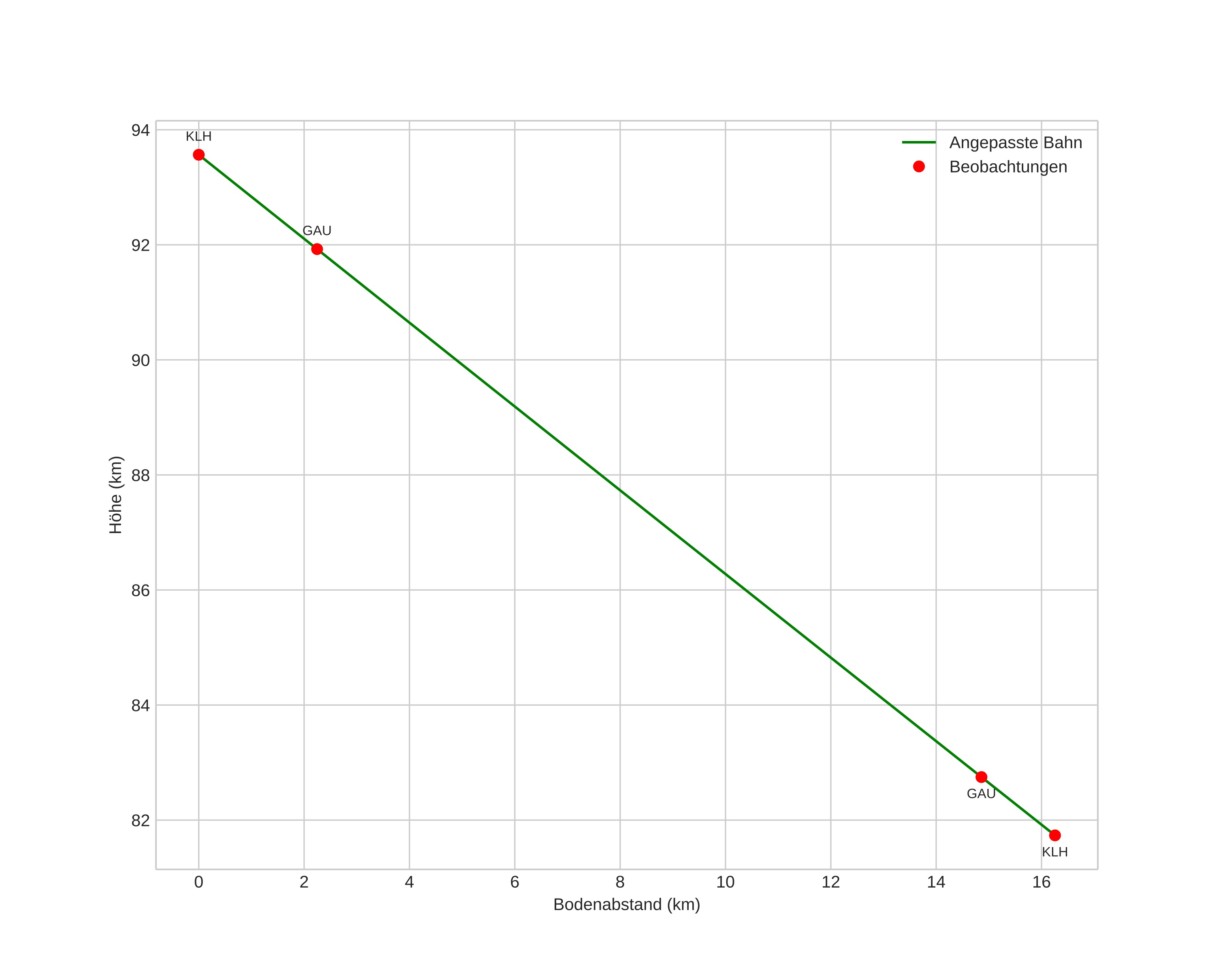
height profile
Atmosphärische Bahn des Meteors:
Anfangshöhe: 93,6 km
Endhöhe: 81,8 km
Startposition: 57,265N 10,756E
Endposition: 57,367N 10,561E
Richtung: 314,1°
Neigungswinkel: 36,0°
Eintrittsgeschwindigkeit: 21,2 km/s
Rektaszension des Radianten: 11:50 (177,7°)
Deklination des Radianten: 6,7°
Meteorstrom: sporadisch
Bahnelemente des Meteoroiden:
Periheldistanz: 0,734 AU
Exzentrizität: 0,676
Inklination: 2,8°
Länge des aufsteigenden Knotens: 5,6°
Argument des Perihels: 249,7°
Mittlere Anomalie: 347,6°
Epoche: 2023 MAR 26 20:22:55
orbit plot

Nicht-interaktives Diagramm | Interaktives Diagramm

position vs time
speed and acceleration