🇳🇴 🇬🇧 🇩🇪 🇨🇿 🇫🇮

Meteor Sæbyn yllä 2023-03-26 20:22:55 UTC

KML-tiedosto  |  Interaktiivinen kartta

Kartta näyttää meteorin suuntahavainnot. Vaaleammat viivat näyttävät suunnat havaintoasemilta meteorin ilmestyessä, ja tummemmat viivat näyttävät, missä se viimeksi nähtiin. Sininen nuoli näyttää meteorin näkyvän lennon.

static map
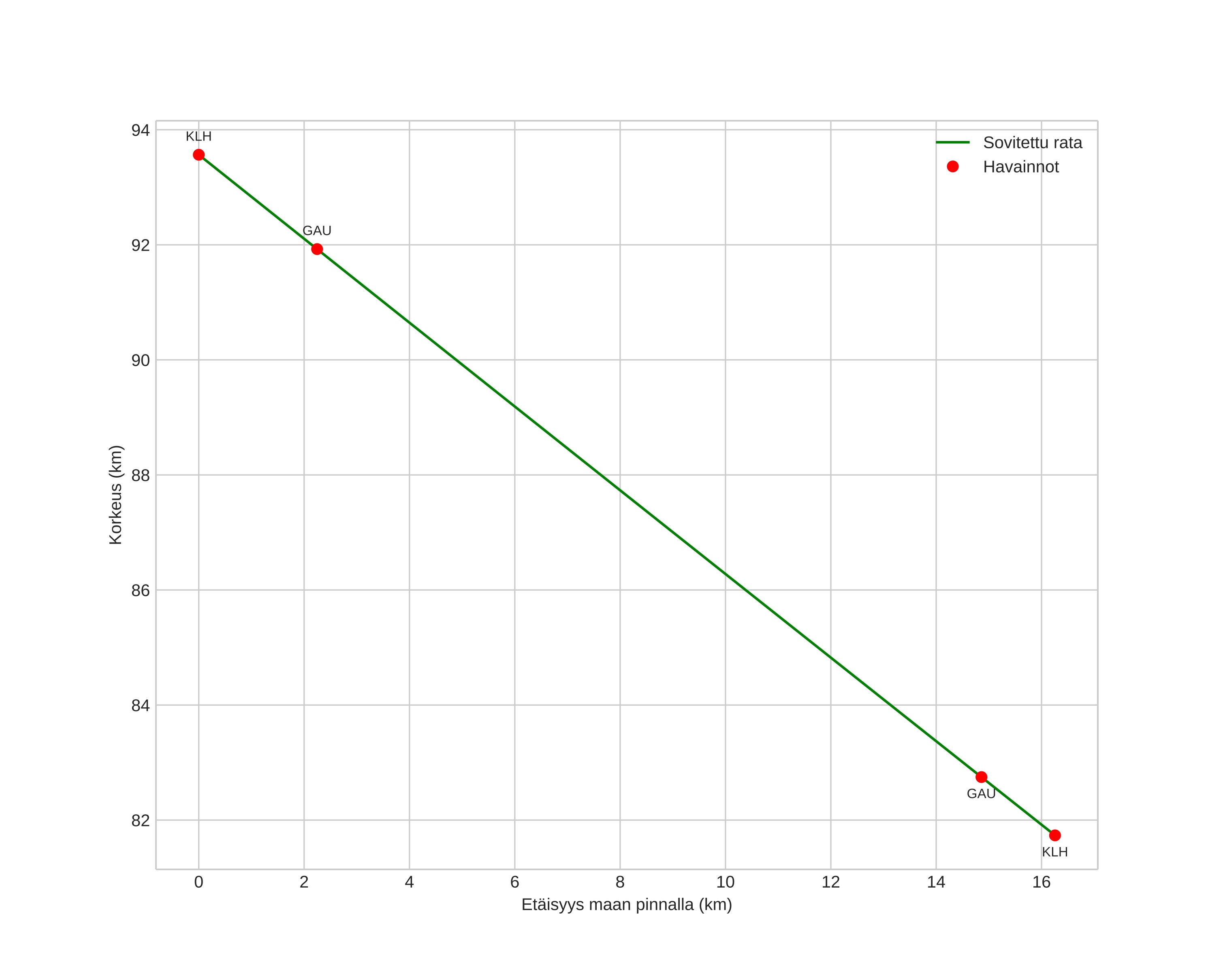
height profile
Meteorin ilmakehärata:
Alkukorkeus: 93,6 km
Loppukorkeus: 81,8 km
Alkupiste: 57,265N 10,756E
Loppupiste: 57,367N 10,561E
Suunta: 314,1°
Kallistuskulma: 36,0°
Tulonopeus: 21,2 km/s
Radiantin R,A,: 11:50 (177,7°)
Radiantin Dekl,: 6,7°
Meteoriparvi: Sporadinen
Meteoroidin rataelementit:
Perihelietäisyys: 0,734 AU
Eksentrisyys: 0,676
Inklinaatio: 2,8°
Nousevan solmun pituus: 5,6°
Perihelin argumentti: 249,7°
Keskianomalia: 347,6°
Epookki: 2023 MAR 26 20:22:55
orbit plot

Ei-interaktiivinen kuvaaja | Interaktiivinen kuvaaja

position vs time
speed and acceleration