🇳🇴 🇬🇧 🇩🇪 🇨🇿 🇫🇮

Meteor, poloha: Langesund 2023-04-03 00:00:53 UTC

Soubor KML  |  InteraktivnĂ­ mapa

Mapa zobrazuje dráhy meteoru. Světlejší čáry ukazují směry od pozorovacích stanic při objevení se meteoru a tmavší čáry, kde byl naposledy viděn. Modrá šipka značí viditelnou dráhu meteoru.

static map
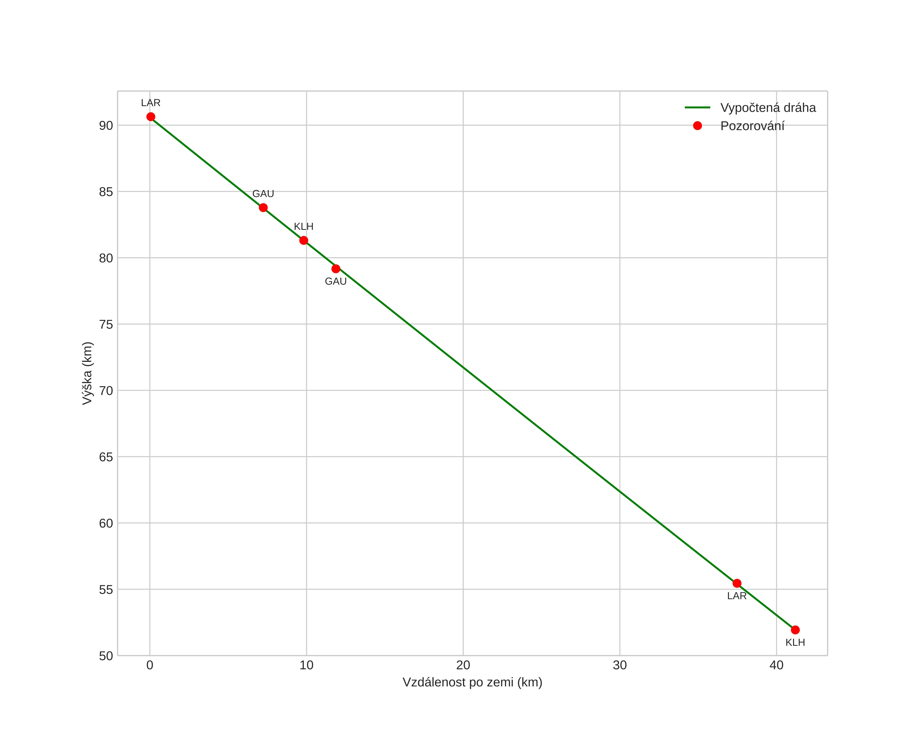
height profile
Atmosférická dráha meteoru:
Počáteční výška: 89,9 km
Konečná výška: 51,9 km
Počáteční poloha: 58,389N 9,626E
Konečná poloha: 58,756N 9,664E
Směr: 3,1°
Sklon: 42,9°
VstupnĂ­ rychlost: 25,3 km/s
Rektascenze radiantu: 13:10 (197,6°)
Deklinace radiantu: 8,7°
MeteorickĂ˝ roj: sporadickĂ˝
Elementy dráhy meteoroidu:
Vzdálenost v periheliu: 0,597 AU
Excentricita: 0,736
Sklon dráhy: 11,2°
Délka vzestupného uzlu: 12,7°
Argument perihelia: 267,2°
Střední anomálie: 346,8°
Epocha: 2023 APR 03 00:00:53
orbit plot

NeinteraktivnĂ­ graf | InteraktivnĂ­ graf

position vs time
speed and acceleration