🇳🇴 🇬🇧 🇩🇪 🇨🇿 🇫🇮

Meteor Langesundin yllä 2023-04-03 00:00:53 UTC

KML-tiedosto  |  Interaktiivinen kartta

Kartta näyttää meteorin suuntahavainnot. Vaaleammat viivat näyttävät suunnat havaintoasemilta meteorin ilmestyessä, ja tummemmat viivat näyttävät, missä se viimeksi nähtiin. Sininen nuoli näyttää meteorin näkyvän lennon.

static map
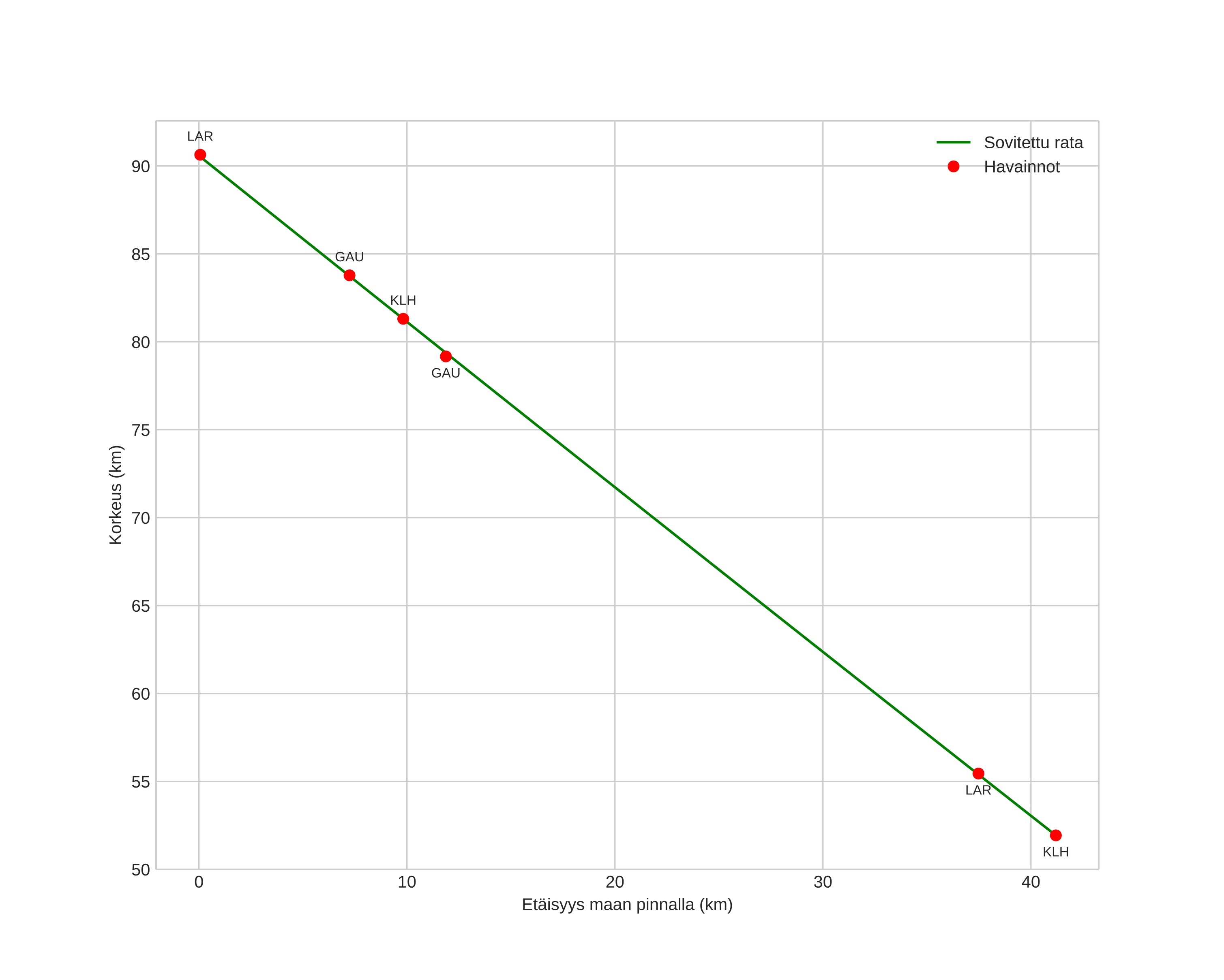
height profile
Meteorin ilmakehärata:
Alkukorkeus: 89,9 km
Loppukorkeus: 51,9 km
Alkupiste: 58,389N 9,626E
Loppupiste: 58,756N 9,664E
Suunta: 3,1°
Kallistuskulma: 42,9°
Tulonopeus: 25,3 km/s
Radiantin R,A,: 13:10 (197,6°)
Radiantin Dekl,: 8,7°
Meteoriparvi: Sporadinen
Meteoroidin rataelementit:
Perihelietäisyys: 0,597 AU
Eksentrisyys: 0,736
Inklinaatio: 11,2°
Nousevan solmun pituus: 12,7°
Perihelin argumentti: 267,2°
Keskianomalia: 346,8°
Epookki: 2023 APR 03 00:00:53
orbit plot

Ei-interaktiivinen kuvaaja | Interaktiivinen kuvaaja

position vs time
speed and acceleration