🇳🇴 🇬🇧 🇩🇪 🇨🇿 🇫🇮

Meteor über Langesund 2023-04-03 00:00:53 UTC

KML-Datei  |  Interaktive Karte

Die Karte zeigt die Peilungen für den Meteor. Die helleren Linien zeigen die Richtungen von den Beobachtungsorten beim Erscheinen des Meteors, und die dunkleren Linien, wo er zuletzt gesehen wurde. Der blaue Pfeil zeigt die sichtbare Bahn des Meteors.

static map
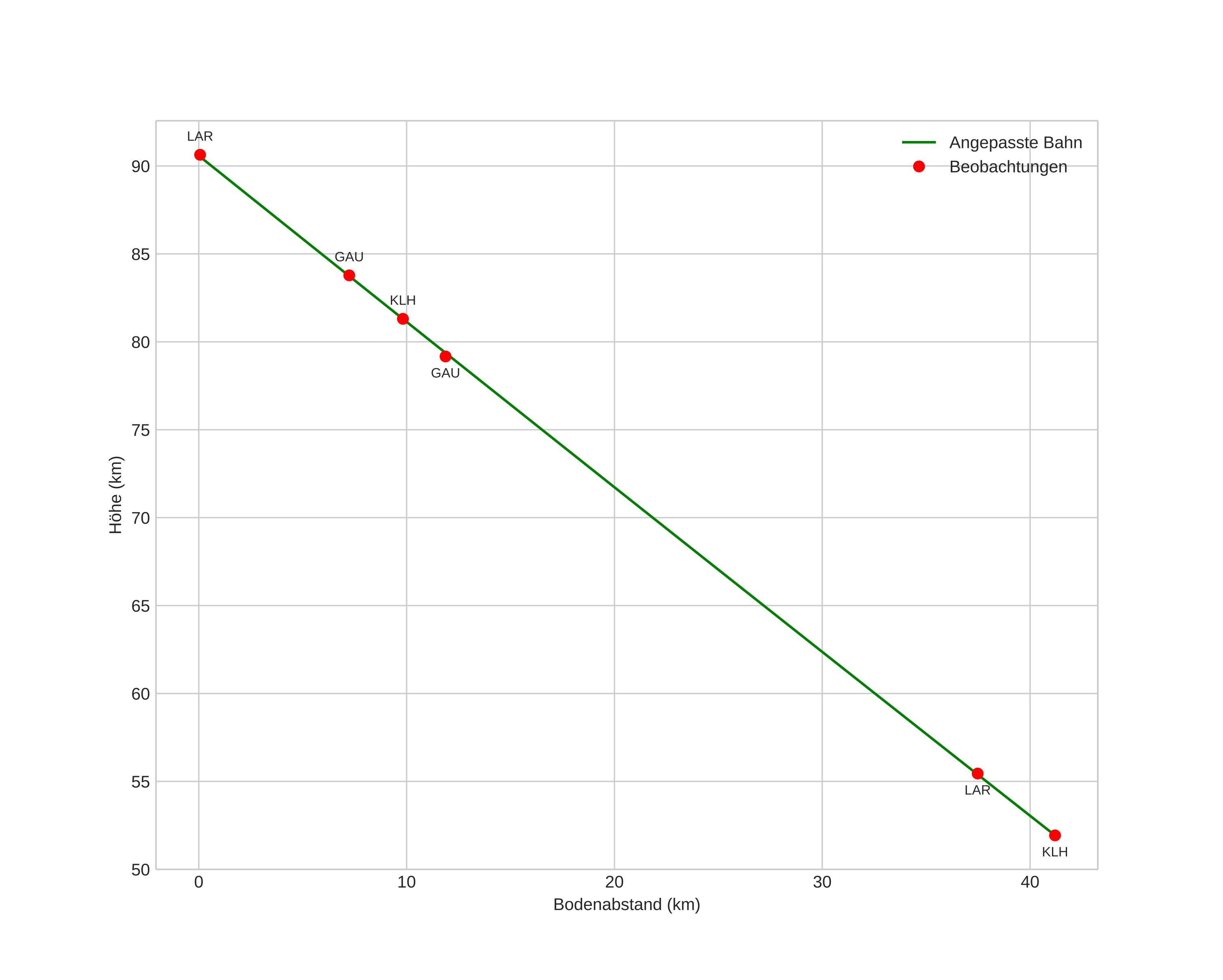
height profile
Atmosphärische Bahn des Meteors:
Anfangshöhe: 89,9 km
Endhöhe: 51,9 km
Startposition: 58,389N 9,626E
Endposition: 58,756N 9,664E
Richtung: 3,1°
Neigungswinkel: 42,9°
Eintrittsgeschwindigkeit: 25,3 km/s
Rektaszension des Radianten: 13:10 (197,6°)
Deklination des Radianten: 8,7°
Meteorstrom: sporadisch
Bahnelemente des Meteoroiden:
Periheldistanz: 0,597 AU
Exzentrizität: 0,736
Inklination: 11,2°
Länge des aufsteigenden Knotens: 12,7°
Argument des Perihels: 267,2°
Mittlere Anomalie: 346,8°
Epoche: 2023 APR 03 00:00:53
orbit plot

Nicht-interaktives Diagramm | Interaktives Diagramm

position vs time
speed and acceleration