🇳🇴 🇬🇧 🇩🇪 🇨🇿 🇫🇮

Meteor, poloha: Storslett 2023-04-12 00:17:23 UTC

Soubor KML  |  InteraktivnĂ­ mapa

Mapa zobrazuje dráhy meteoru. Světlejší čáry ukazují směry od pozorovacích stanic při objevení se meteoru a tmavší čáry, kde byl naposledy viděn. Modrá šipka značí viditelnou dráhu meteoru.

static map
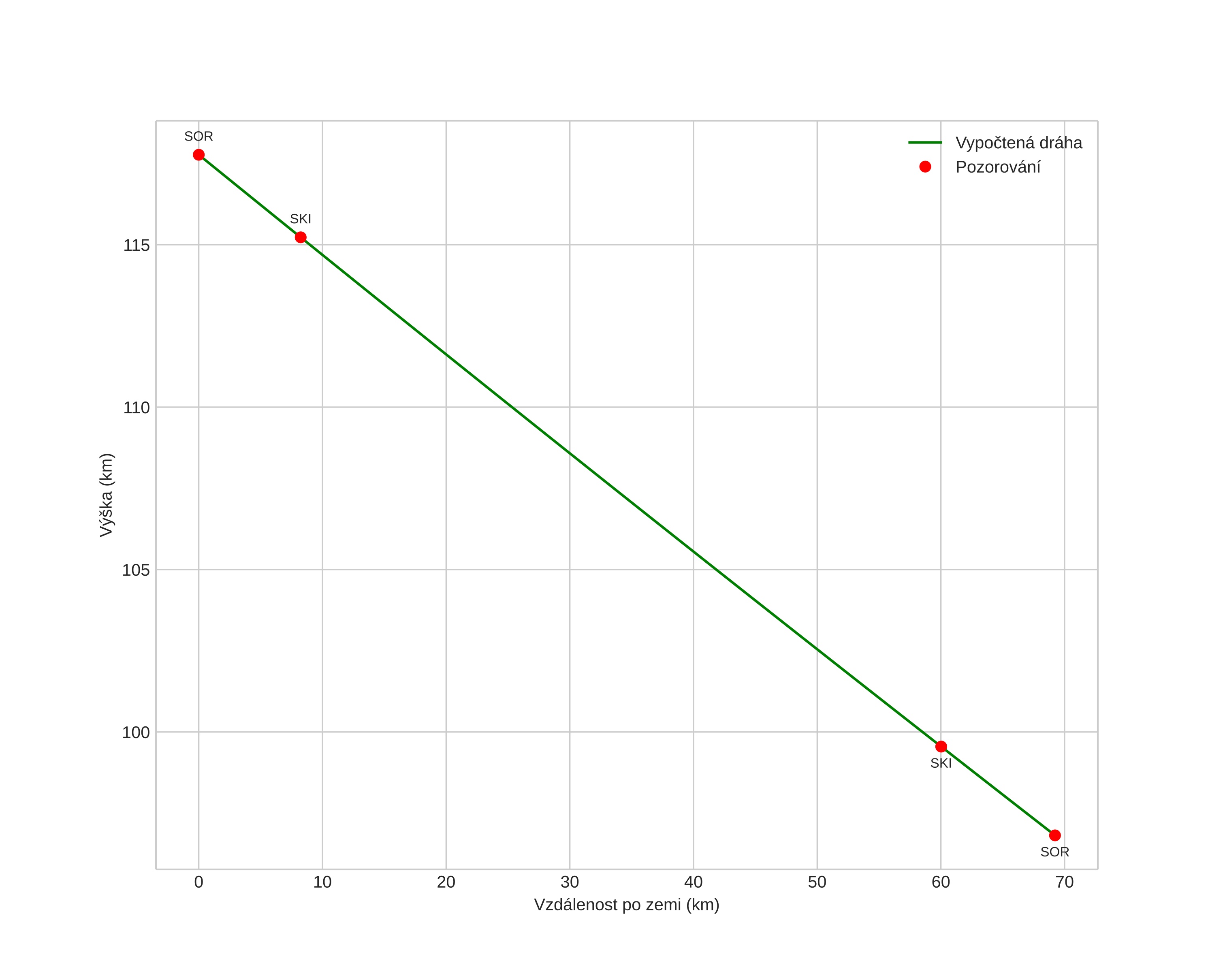
height profile
Atmosférická dráha meteoru:
Počáteční výška: 117,8 km
Konečná výška: 96,8 km
Počáteční poloha: 69,141N 22,809E
Konečná poloha: 69,357N 21,161E
Směr: 291,1°
Sklon: 16,9°
VstupnĂ­ rychlost: 79,8 km/s
Rektascenze radiantu: 19:25 (291,4°)
Deklinace radiantu: 8,1°
MeteorickĂ˝ roj: sporadickĂ˝
Elementy dráhy meteoroidu:
Vzdálenost v periheliu: 0,998 AU
Excentricita: 2,437
Sklon dráhy: 134,7°
Délka vzestupného uzlu: 21,5°
Argument perihelia: 174,0°
Střední anomálie: 5,6°
Epocha: 2023 APR 12 00:17:23
orbit plot

NeinteraktivnĂ­ graf | InteraktivnĂ­ graf

position vs time
speed and acceleration