🇳🇴 🇬🇧 🇩🇪 🇨🇿 🇫🇮

Meteor Storslettin yllä 2023-04-12 00:17:23 UTC

KML-tiedosto  |  Interaktiivinen kartta

Kartta näyttää meteorin suuntahavainnot. Vaaleammat viivat näyttävät suunnat havaintoasemilta meteorin ilmestyessä, ja tummemmat viivat näyttävät, missä se viimeksi nähtiin. Sininen nuoli näyttää meteorin näkyvän lennon.

static map
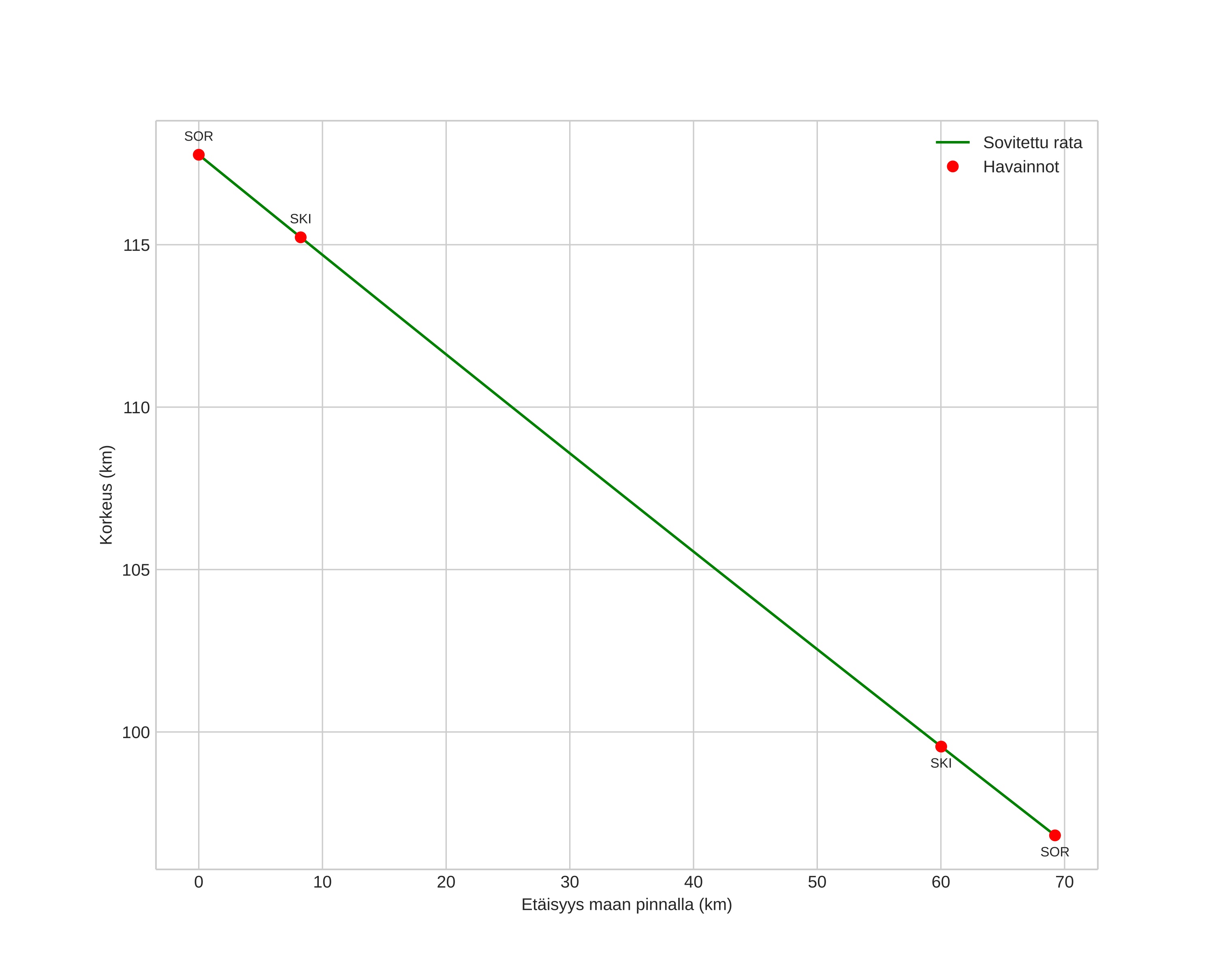
height profile
Meteorin ilmakehärata:
Alkukorkeus: 117,8 km
Loppukorkeus: 96,8 km
Alkupiste: 69,141N 22,809E
Loppupiste: 69,357N 21,161E
Suunta: 291,1°
Kallistuskulma: 16,9°
Tulonopeus: 79,8 km/s
Radiantin R,A,: 19:25 (291,4°)
Radiantin Dekl,: 8,1°
Meteoriparvi: Sporadinen
Meteoroidin rataelementit:
Perihelietäisyys: 0,998 AU
Eksentrisyys: 2,437
Inklinaatio: 134,7°
Nousevan solmun pituus: 21,5°
Perihelin argumentti: 174,0°
Keskianomalia: 5,6°
Epookki: 2023 APR 12 00:17:23
orbit plot

Ei-interaktiivinen kuvaaja | Interaktiivinen kuvaaja

position vs time
speed and acceleration