🇳🇴 🇬🇧 🇩🇪 🇨🇿 🇫🇮

Meteor über Storslett 2023-04-12 00:17:23 UTC

KML-Datei  |  Interaktive Karte

Die Karte zeigt die Peilungen für den Meteor. Die helleren Linien zeigen die Richtungen von den Beobachtungsorten beim Erscheinen des Meteors, und die dunkleren Linien, wo er zuletzt gesehen wurde. Der blaue Pfeil zeigt die sichtbare Bahn des Meteors.

static map
height profile
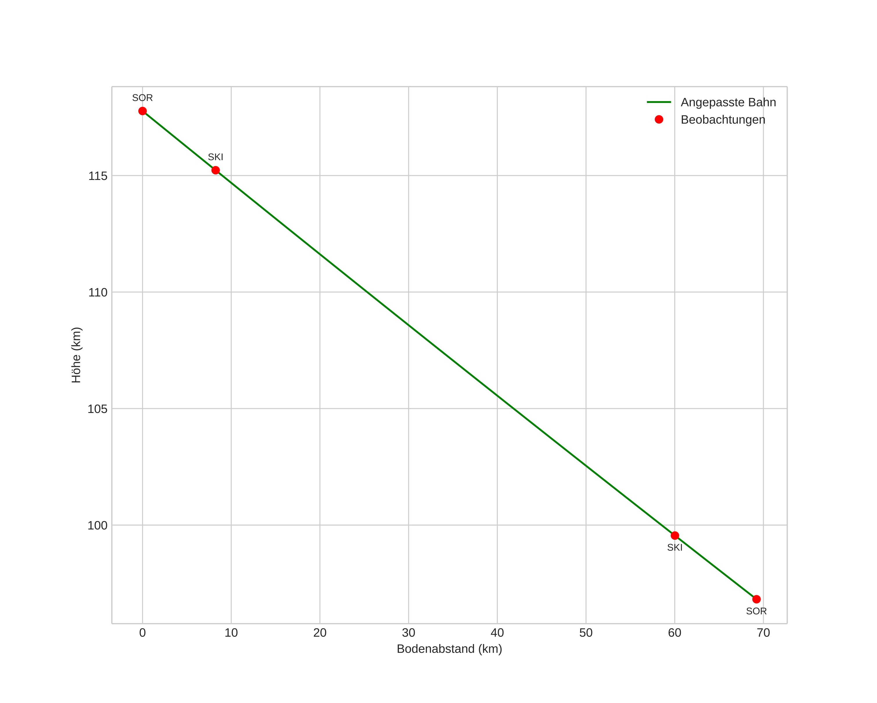
Atmosphärische Bahn des Meteors:
Anfangshöhe: 117,8 km
Endhöhe: 96,8 km
Startposition: 69,141N 22,809E
Endposition: 69,357N 21,161E
Richtung: 291,1°
Neigungswinkel: 16,9°
Eintrittsgeschwindigkeit: 79,8 km/s
Rektaszension des Radianten: 19:25 (291,4°)
Deklination des Radianten: 8,1°
Meteorstrom: sporadisch
Bahnelemente des Meteoroiden:
Periheldistanz: 0,998 AU
Exzentrizität: 2,437
Inklination: 134,7°
Länge des aufsteigenden Knotens: 21,5°
Argument des Perihels: 174,0°
Mittlere Anomalie: 5,6°
Epoche: 2023 APR 12 00:17:23
orbit plot

Nicht-interaktives Diagramm | Interaktives Diagramm

position vs time
speed and acceleration