🇳🇴 🇬🇧 🇩🇪 🇨🇿 🇫🇮

Meteor, poloha: Andenes 2023-08-30 21:49:00 UTC

Soubor KML  |  InteraktivnĂ­ mapa

Mapa zobrazuje dráhy meteoru. Světlejší čáry ukazují směry od pozorovacích stanic při objevení se meteoru a tmavší čáry, kde byl naposledy viděn. Modrá šipka značí viditelnou dráhu meteoru.

static map
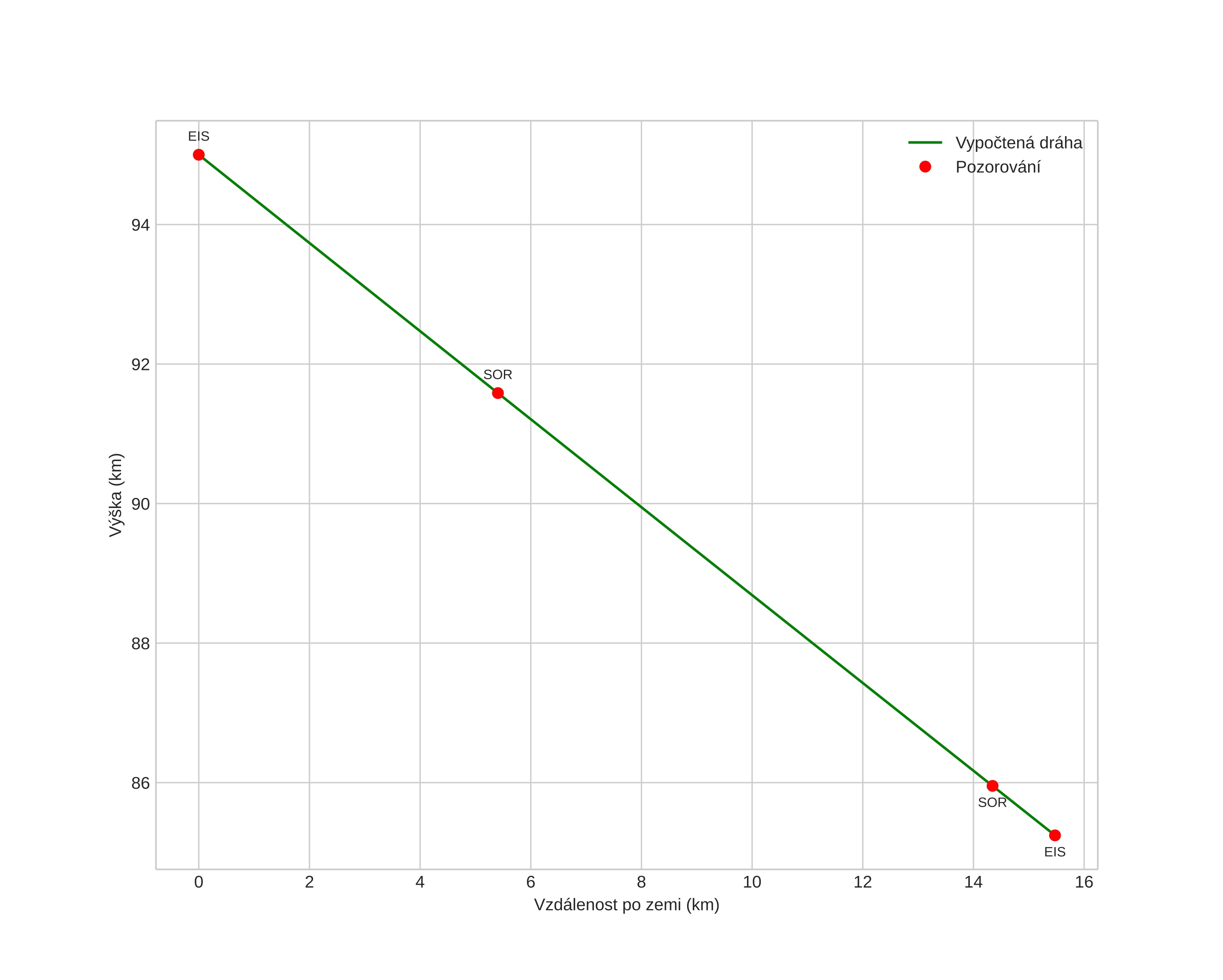
height profile
Atmosférická dráha meteoru:
Počáteční výška: 94,7 km
Konečná výška: 84,8 km
Počáteční poloha: 69,502N 16,058E
Konečná poloha: 69,638N 15,996E
Směr: 351,0°
Sklon: 33,0°
VstupnĂ­ rychlost: 27,5 km/s
Rektascenze radiantu: 21:57 (329,3°)
Deklinace radiantu: 9,8°
MeteorickĂ˝ roj: sporadickĂ˝
Elementy dráhy meteoroidu:
Vzdálenost v periheliu: 0,613 AU
Excentricita: 0,867
Sklon dráhy: 16,5°
Délka vzestupného uzlu: 156,9°
Argument perihelia: 261,2°
Střední anomálie: 355,8°
Epocha: 2023 AUG 30 21:49:00
orbit plot

NeinteraktivnĂ­ graf | InteraktivnĂ­ graf

position vs time
speed and acceleration

Sorreisa (SOR) cam4

gnomonic
Videa
• Původní
Obrázky
• Původní
Textové soubory
• Detekce
• Pozorování
• Souřadnice
• Chybová hlášení
• Protokol
Jasnost