🇳🇴 🇬🇧 🇩🇪 🇨🇿 🇫🇮

Meteor Andenesin yllä 2023-08-30 21:49:00 UTC

KML-tiedosto  |  Interaktiivinen kartta

Kartta näyttää meteorin suuntahavainnot. Vaaleammat viivat näyttävät suunnat havaintoasemilta meteorin ilmestyessä, ja tummemmat viivat näyttävät, missä se viimeksi nähtiin. Sininen nuoli näyttää meteorin näkyvän lennon.

static map
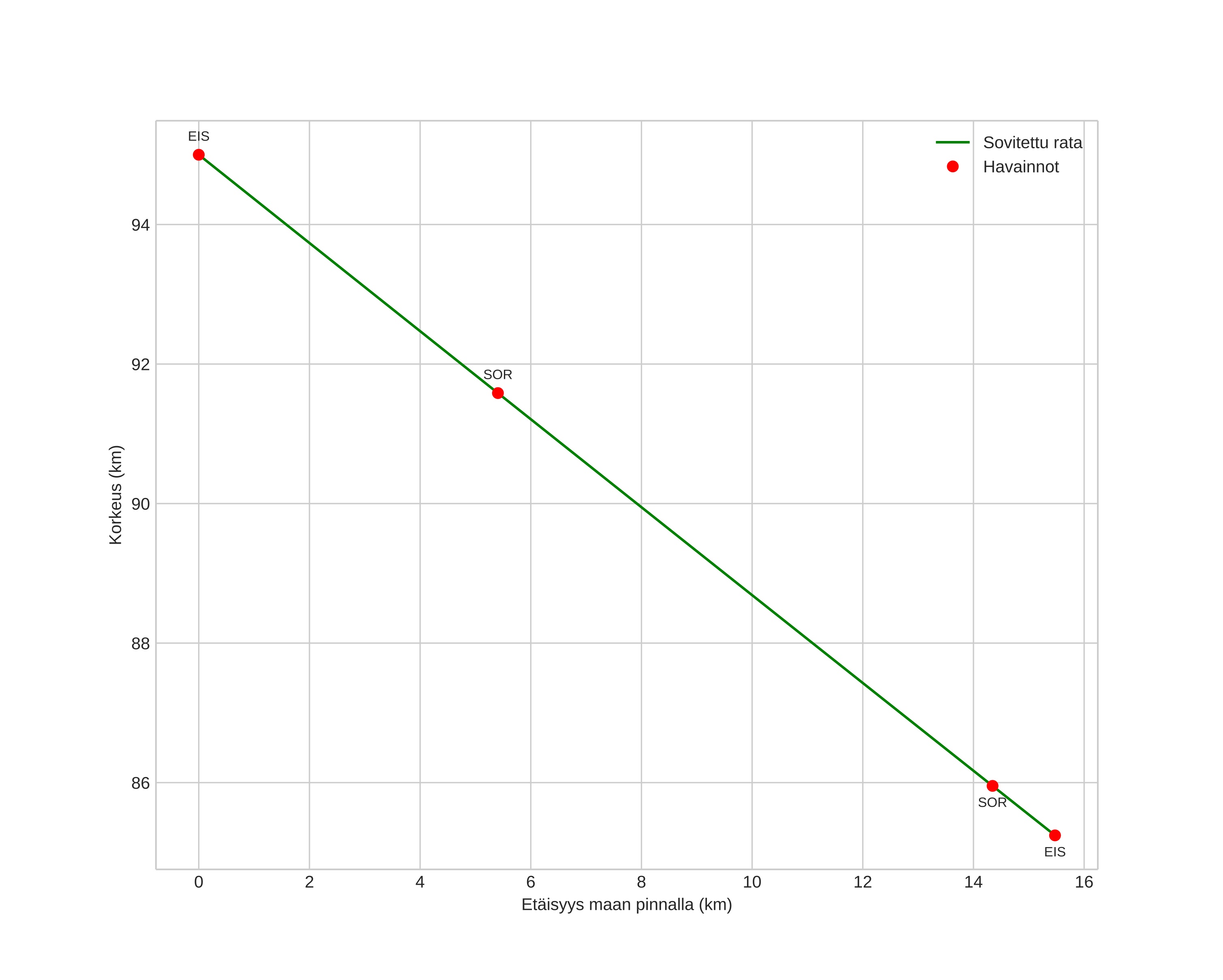
height profile
Meteorin ilmakehärata:
Alkukorkeus: 94,7 km
Loppukorkeus: 84,8 km
Alkupiste: 69,502N 16,058E
Loppupiste: 69,638N 15,996E
Suunta: 351,0°
Kallistuskulma: 33,0°
Tulonopeus: 27,5 km/s
Radiantin R,A,: 21:57 (329,3°)
Radiantin Dekl,: 9,8°
Meteoriparvi: Sporadinen
Meteoroidin rataelementit:
Perihelietäisyys: 0,613 AU
Eksentrisyys: 0,867
Inklinaatio: 16,5°
Nousevan solmun pituus: 156,9°
Perihelin argumentti: 261,2°
Keskianomalia: 355,8°
Epookki: 2023 AUG 30 21:49:00
orbit plot

Ei-interaktiivinen kuvaaja | Interaktiivinen kuvaaja

position vs time
speed and acceleration

Sorreisa (SOR) cam4

gnomonic
Videot:
• Alkuperäinen
Kuvat:
• Alkuperäinen
Tekstitiedostot:
• Havaintoraportti
• Observaatio
• Koordinaatit
• Virheilmoitukset
• Loki
Kirkkaus