🇳🇴 🇬🇧 🇩🇪 🇨🇿 🇫🇮

Meteor über Andenes 2023-08-30 21:49:00 UTC

KML-Datei  |  Interaktive Karte

Die Karte zeigt die Peilungen für den Meteor. Die helleren Linien zeigen die Richtungen von den Beobachtungsorten beim Erscheinen des Meteors, und die dunkleren Linien, wo er zuletzt gesehen wurde. Der blaue Pfeil zeigt die sichtbare Bahn des Meteors.

static map
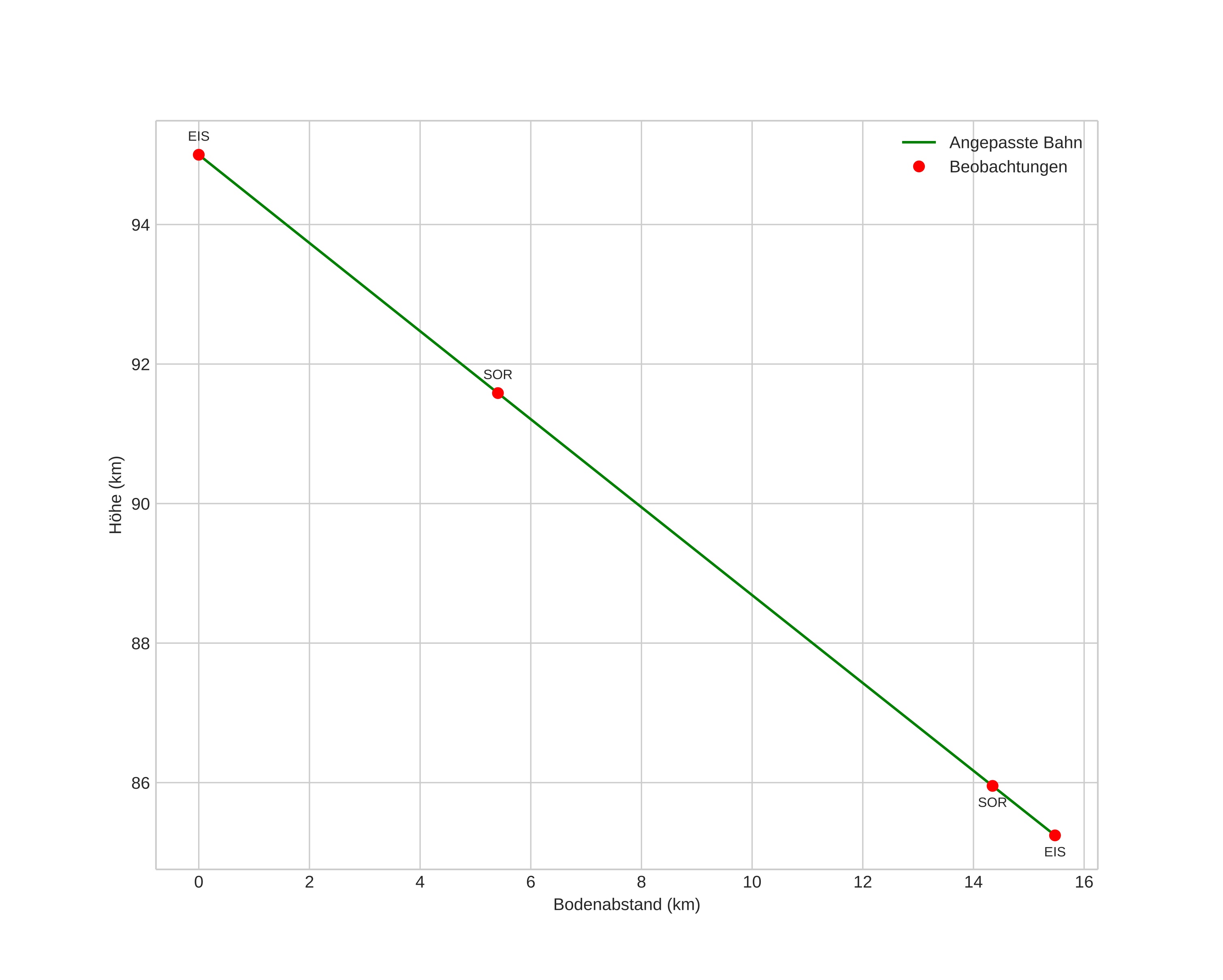
height profile
Atmosphärische Bahn des Meteors:
Anfangshöhe: 94,7 km
Endhöhe: 84,8 km
Startposition: 69,502N 16,058E
Endposition: 69,638N 15,996E
Richtung: 351,0°
Neigungswinkel: 33,0°
Eintrittsgeschwindigkeit: 27,5 km/s
Rektaszension des Radianten: 21:57 (329,3°)
Deklination des Radianten: 9,8°
Meteorstrom: sporadisch
Bahnelemente des Meteoroiden:
Periheldistanz: 0,613 AU
Exzentrizität: 0,867
Inklination: 16,5°
Länge des aufsteigenden Knotens: 156,9°
Argument des Perihels: 261,2°
Mittlere Anomalie: 355,8°
Epoche: 2023 AUG 30 21:49:00
orbit plot

Nicht-interaktives Diagramm | Interaktives Diagramm

position vs time
speed and acceleration

Sorreisa (SOR) cam4

gnomonic
Videos
• Original
Bilder
• Original
Textdateien
• Erkennung
• Beobachtung
• Koordinaten
• Fehlermeldungen
• Protokoll
Helligkeit