🇳🇴 🇬🇧 🇩🇪 🇨🇿 🇫🇮

Meteor, poloha: Vigrestad 2023-09-03 23:35:37 UTC

Kristiansand – 1
Kristiansand – 1
Voksenlia – 1
Voksenlia – 1

Soubor KML  | Interaktivní mapa

map

Mapa zobrazuje dráhy meteoru. Světlejší čáry ukazují směry od pozorovacích stanic při objevení se meteoru a tmavší čáry, kde byl naposledy viděn. Modrá šipka značí viditelnou dráhu meteoru.

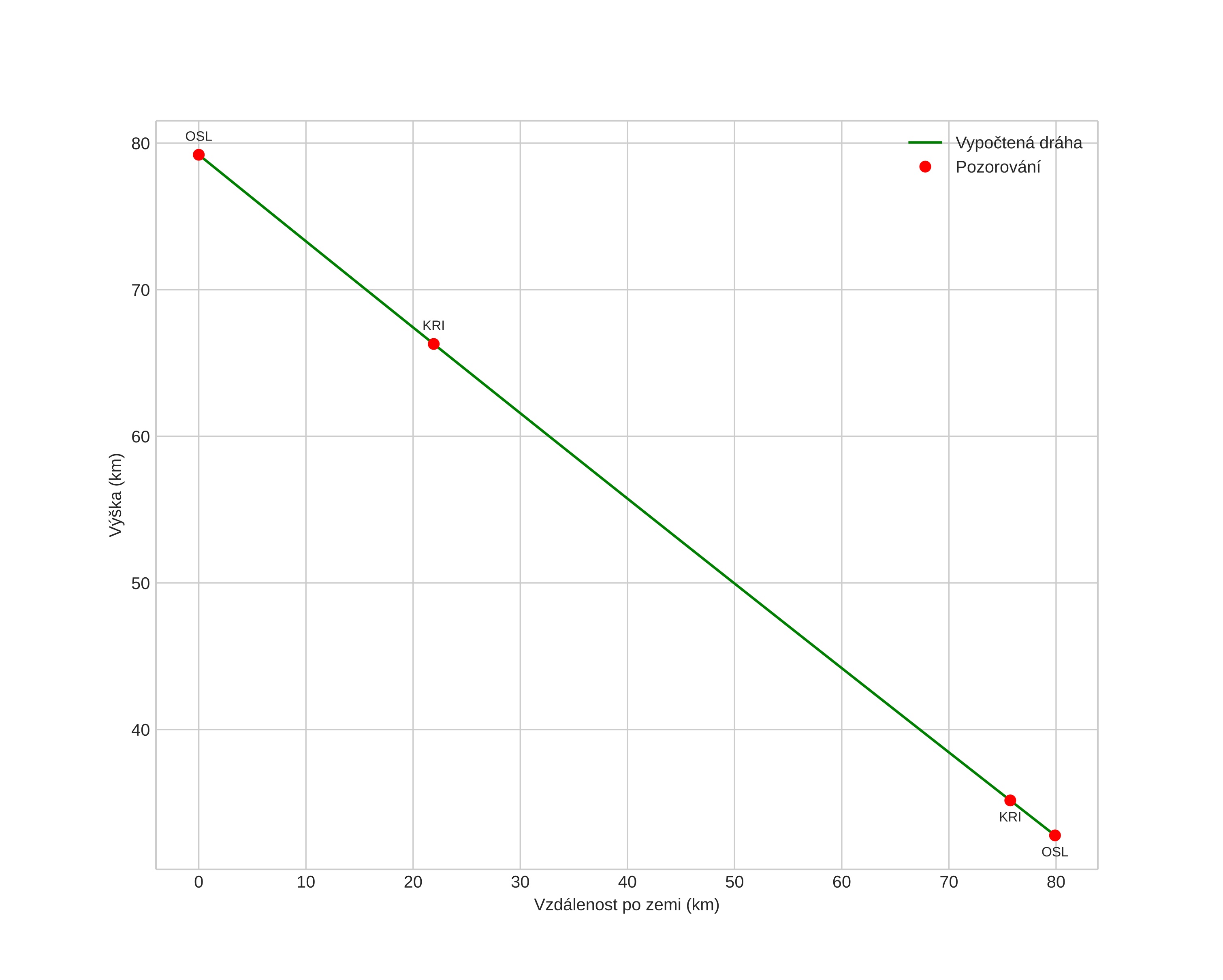
height profile
Atmosférická dráha meteoru:
Počáteční výška: 92,2 km
Konečná výška: 42,3 km
Počáteční poloha: 55,827N 5,784E
Konečná poloha: 56,473N 5,037E
Směr: 327,6°
Sklon: 30,3°
Vstupní rychlost: 36,8 km/s
Rektascenze radiantu: 00:39 (9,8°)
Deklinace radiantu: -1,2°
Meteorický roj: sporadický
Elementy dráhy meteoroidu:
Vzdálenost v periheliu: 0,112 AU
Excentricita: 0,925
Sklon dráhy: 12,9°
Délka vzestupného uzlu: 340,9°
Argument perihelia: 148,3°
Střední anomálie: 340,2°
Epocha: 2023 SEP 03 23:35:37
orbit

Neinteraktivní graf | Interaktivní graf

position vs time
speed & acceleration