🇳🇴 🇬🇧 🇩🇪 🇨🇿 🇫🇮

Meteor Vigrestadin yllä 2023-09-03 23:35:37 UTC

Kristiansand – 1
Kristiansand – 1
Voksenlia – 1
Voksenlia – 1

KML-tiedosto  | Interaktiivinen kartta

map

Kartta näyttää meteorin suuntahavainnot. Vaaleammat viivat näyttävät suunnat havaintoasemilta meteorin ilmestyessä, ja tummemmat viivat näyttävät, missä se viimeksi nähtiin. Sininen nuoli näyttää meteorin näkyvän lennon.

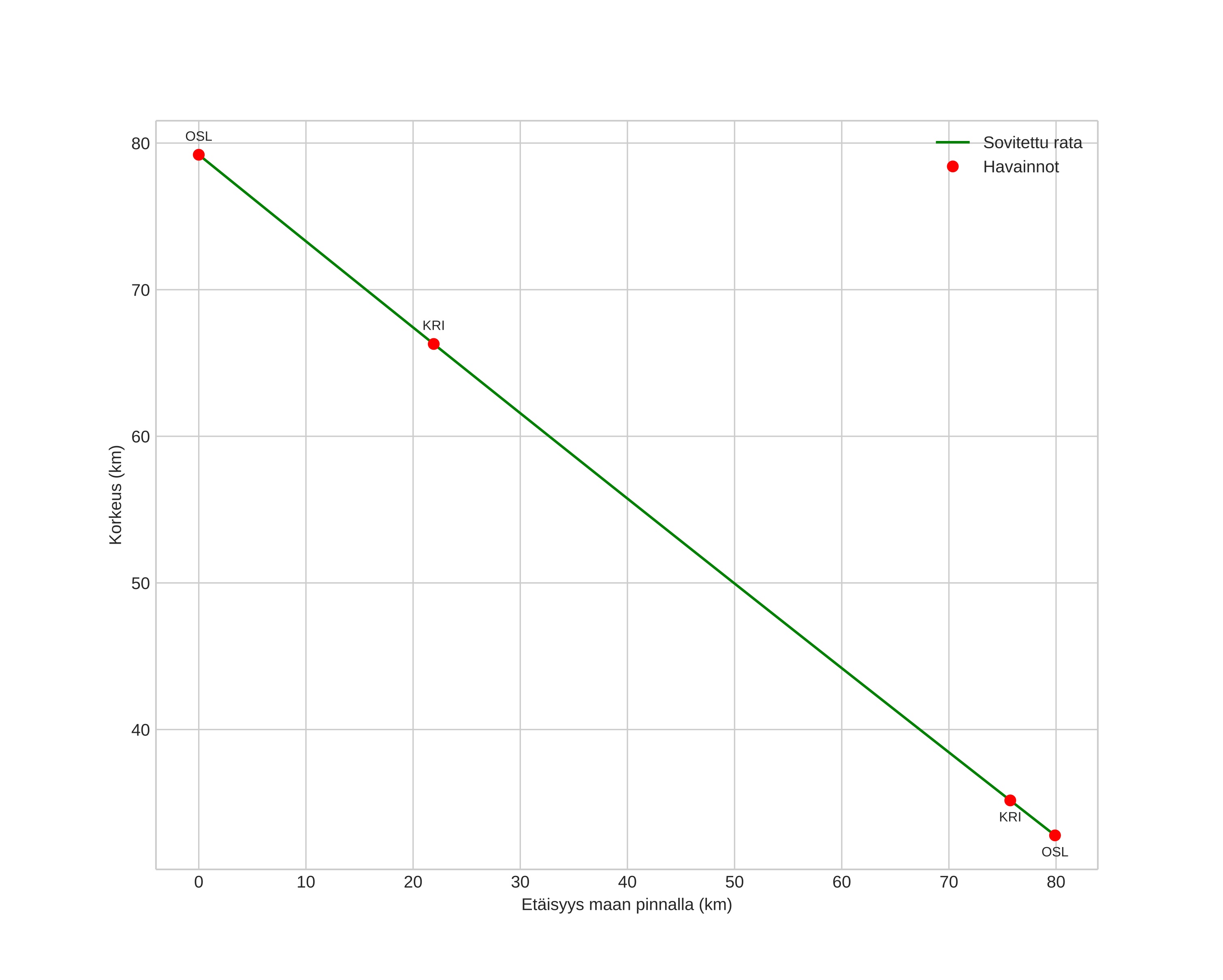
height profile
Meteorin ilmakehärata:
Alkukorkeus: 92,2 km
Loppukorkeus: 42,3 km
Alkupiste: 55,827N 5,784E
Loppupiste: 56,473N 5,037E
Suunta: 327,6°
Kallistuskulma: 30,3°
Tulonopeus: 36,8 km/s
Radiantin R,A,: 00:39 (9,8°)
Radiantin Dekl,: -1,2°
Meteoriparvi: Sporadinen
Meteoroidin rataelementit:
Perihelietäisyys: 0,112 AU
Eksentrisyys: 0,925
Inklinaatio: 12,9°
Nousevan solmun pituus: 340,9°
Perihelin argumentti: 148,3°
Keskianomalia: 340,2°
Epookki: 2023 SEP 03 23:35:37
orbit

Ei-interaktiivinen kuvaaja | Interaktiivinen kuvaaja

position vs time
speed & acceleration