🇳🇴 🇬🇧 🇩🇪 🇨🇿 🇫🇮

Meteor über Vigrestad 2023-09-03 23:35:37 UTC

Kristiansand – 1
Kristiansand – 1
Voksenlia – 1
Voksenlia – 1

KML-Datei  | Interaktive Karte

map

Die Karte zeigt die Peilungen für den Meteor. Die helleren Linien zeigen die Richtungen von den Beobachtungsorten beim Erscheinen des Meteors, und die dunkleren Linien, wo er zuletzt gesehen wurde. Der blaue Pfeil zeigt die sichtbare Bahn des Meteors.

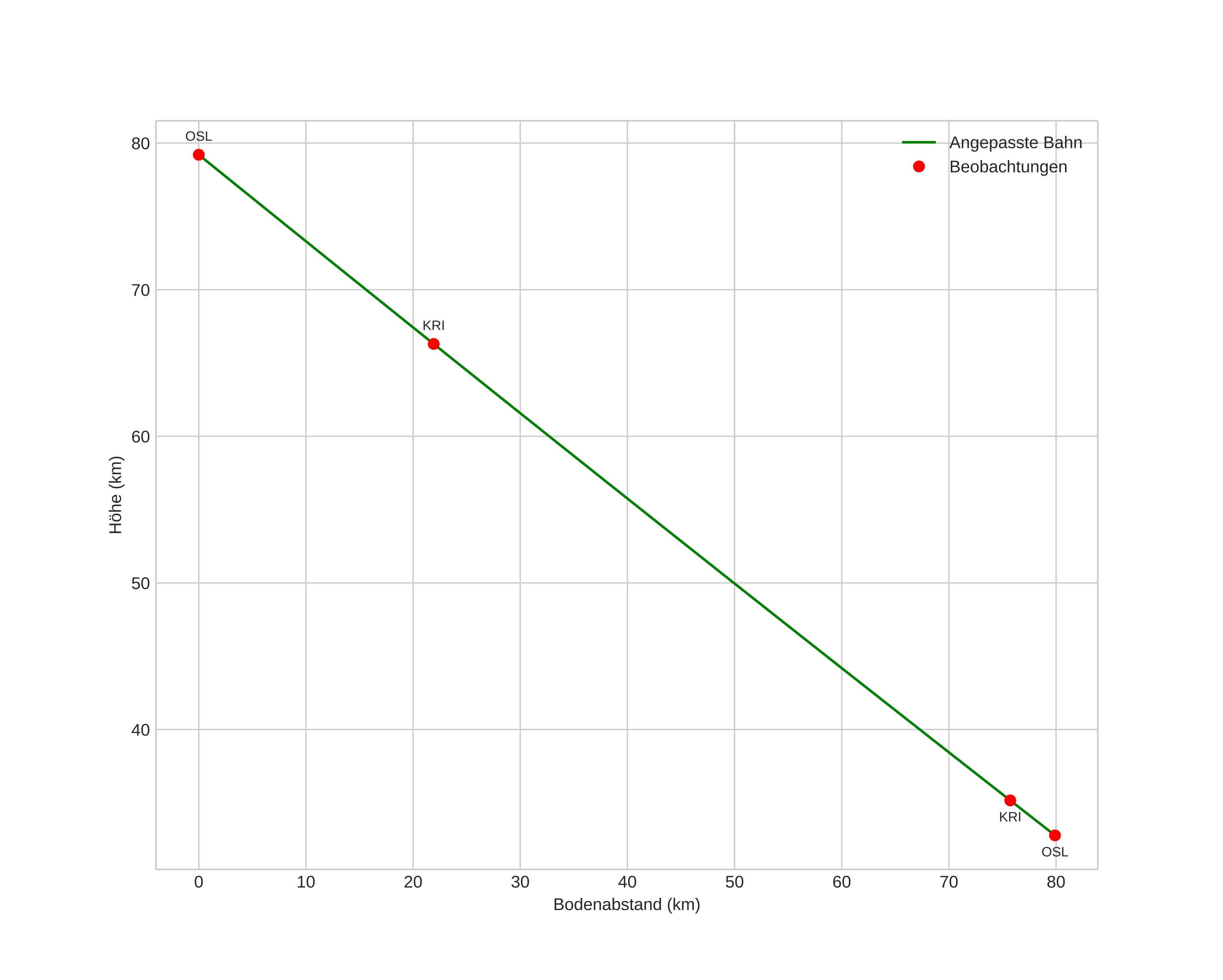
height profile
Atmosphärische Bahn des Meteors:
Anfangshöhe: 92,2 km
Endhöhe: 42,3 km
Startposition: 55,827N 5,784E
Endposition: 56,473N 5,037E
Richtung: 327,6°
Neigungswinkel: 30,3°
Eintrittsgeschwindigkeit: 36,8 km/s
Rektaszension des Radianten: 00:39 (9,8°)
Deklination des Radianten: -1,2°
Meteorstrom: sporadisch
Bahnelemente des Meteoroiden:
Periheldistanz: 0,112 AU
Exzentrizität: 0,925
Inklination: 12,9°
Länge des aufsteigenden Knotens: 340,9°
Argument des Perihels: 148,3°
Mittlere Anomalie: 340,2°
Epoche: 2023 SEP 03 23:35:37
orbit

Nicht-interaktives Diagramm | Interaktives Diagramm

position vs time
speed & acceleration