🇳🇴 🇬🇧 🇩🇪 🇨🇿 🇫🇮

Meteor, poloha: Charlottenlund 2023-09-06 22:33:45 UTC

Soubor KML  |  InteraktivnĂ­ mapa

Mapa zobrazuje dráhy meteoru. Světlejší čáry ukazují směry od pozorovacích stanic při objevení se meteoru a tmavší čáry, kde byl naposledy viděn. Modrá šipka značí viditelnou dráhu meteoru.

static map
height profile
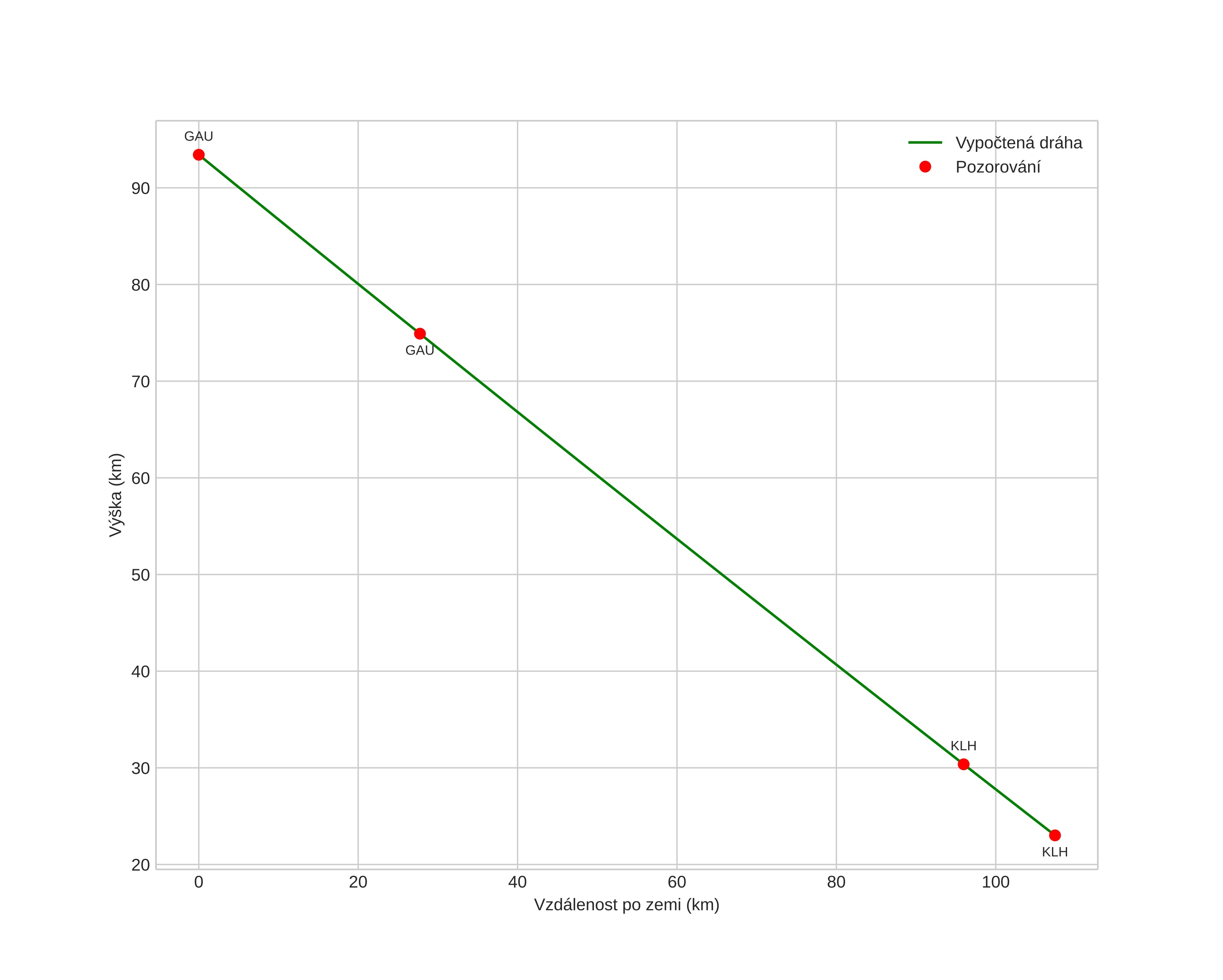
Atmosférická dráha meteoru:
Počáteční výška: 111,1 km
Konečná výška: 93,9 km
Počáteční poloha: 55,749N 12,942E
Konečná poloha: 55,782N 12,613E
Směr: 280,4°
Sklon: 39,4°
VstupnĂ­ rychlost: 81,2 km/s
Rektascenze radiantu: 02:19 (34,8°)
Deklinace radiantu: 26,2°
MeteorickĂ˝ roj: sporadickĂ˝
Elementy dráhy meteoroidu:
Vzdálenost v periheliu: 0,592 AU
Excentricita: 2,113
Sklon dráhy: 156,2°
Délka vzestupného uzlu: 163,8°
Argument perihelia: 246,9°
Střední anomálie: -65,5°
Epocha: 2023 SEP 06 22:33:45
orbit plot

NeinteraktivnĂ­ graf | InteraktivnĂ­ graf

position vs time
speed and acceleration