🇳🇴 🇬🇧 🇩🇪 🇨🇿 🇫🇮

Meteor Charlottenlundin yllä 2023-09-06 22:33:45 UTC

KML-tiedosto  |  Interaktiivinen kartta

Kartta näyttää meteorin suuntahavainnot. Vaaleammat viivat näyttävät suunnat havaintoasemilta meteorin ilmestyessä, ja tummemmat viivat näyttävät, missä se viimeksi nähtiin. Sininen nuoli näyttää meteorin näkyvän lennon.

static map
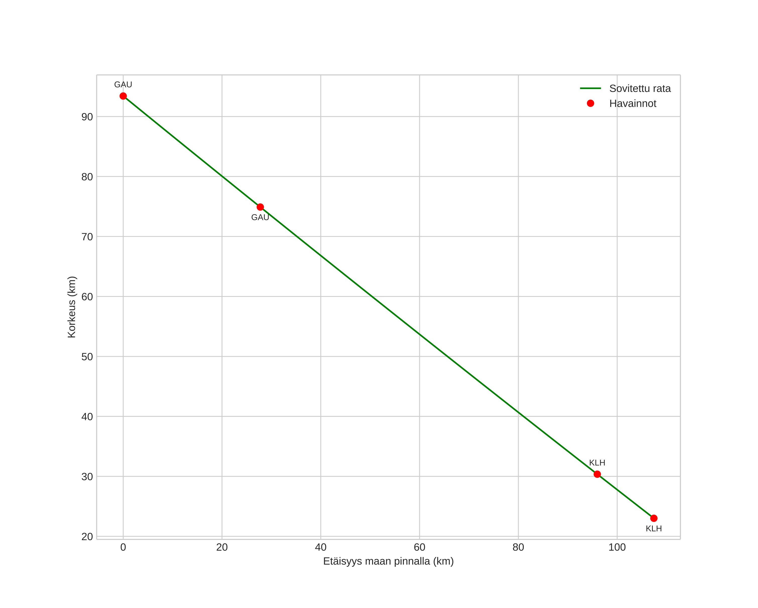
height profile
Meteorin ilmakehärata:
Alkukorkeus: 111,1 km
Loppukorkeus: 93,9 km
Alkupiste: 55,749N 12,942E
Loppupiste: 55,782N 12,613E
Suunta: 280,4°
Kallistuskulma: 39,4°
Tulonopeus: 81,2 km/s
Radiantin R,A,: 02:19 (34,8°)
Radiantin Dekl,: 26,2°
Meteoriparvi: Sporadinen
Meteoroidin rataelementit:
Perihelietäisyys: 0,592 AU
Eksentrisyys: 2,113
Inklinaatio: 156,2°
Nousevan solmun pituus: 163,8°
Perihelin argumentti: 246,9°
Keskianomalia: -65,5°
Epookki: 2023 SEP 06 22:33:45
orbit plot

Ei-interaktiivinen kuvaaja | Interaktiivinen kuvaaja

position vs time
speed and acceleration